网站首页  词典首页


请输入您要查询的字词:

 

字词 产品的氧化度计算
类别 中英文字词句释义及详细解析
释义 产品的氧化度计算

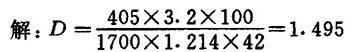
【公式】

式中 D——氧化度,一般为1.4~1.8

C——混合液的氧化当量浓度

其它同上

【例2】 计算例1中当C′=3.2时的氧化度。

【注意】 如果计算的产品氧化度低于或高于工艺规定的氧化度,应在配制混合液时,增加或减少重铬酸钾的量。

随便看

 

离鸟网收录3541549条中英文词条,其功能与新华字典、现代汉语词典、牛津高阶英汉词典等各类中英文词典类似,基本涵盖了全部常用中英文字词句的读音、释义及用法,是语言学习和写作的有利工具。

 

Copyright © 2004-2024 vtrois.com All Rights Reserved
更新时间:2026/4/19 6:30:52