网站首页  词典首页


请输入您要查询的字词:

 

字词 产、役畜摊销
类别 中英文字词句释义及详细解析
释义 产、役畜摊销

农牧业企业圈(栏)存产畜、役畜由于参加生产和自然年龄的递增而发生的价值损耗分摊入产品成本的部分。

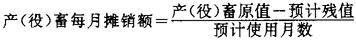
对产畜和价值较高的役畜,一般采用按月摊销其价值,计入产品成本的核算办法。计算公式为:

对价值较低的役畜,一般在淘汰或死亡时,将其价值一次摊销计入产品成本。

随便看

 

离鸟网收录3541549条中英文词条,其功能与新华字典、现代汉语词典、牛津高阶英汉词典等各类中英文词典类似,基本涵盖了全部常用中英文字词句的读音、释义及用法,是语言学习和写作的有利工具。

 

Copyright © 2004-2024 vtrois.com All Rights Reserved
更新时间:2026/4/21 4:03:57