网站首页  词典首页


请输入您要查询的字词:

 

字词 交流电路计算举例
类别 中英文字词句释义及详细解析
释义 交流电路计算举例

图8.1-21所示是RC振荡器电路中的组成部分。现已知电路中各元件的参数,试求其0i同相的条件和0i的比值。

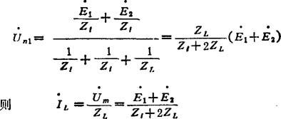
方法二 节点法:设节点0为参考节点,则节点电压方程为

负载电流L的表达式与前相同。

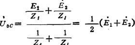
方法三 戴维南定理:由图b)可求得开路电压

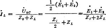
由图c)求得等效复阻抗

由图d)可求出

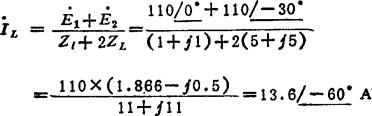
以上三种方法求得的负载电流的表达式完全相同。将已知数据代入,则负载电流

随便看

 

离鸟网收录3541549条中英文词条,其功能与新华字典、现代汉语词典、牛津高阶英汉词典等各类中英文词典类似,基本涵盖了全部常用中英文字词句的读音、释义及用法,是语言学习和写作的有利工具。

 

Copyright © 2004-2024 vtrois.com All Rights Reserved
更新时间:2026/4/20 19:10:36