网站首页  词典首页


请输入您要查询的字词:

 

字词 交流电路的复数解法
类别 中英文字词句释义及详细解析
释义 交流电路的复数解法

复数法是解交流电路的另一常用方法。

根据尤拉公式e=cosθ+isinθ或cosθ=Ree及sinθ=Ine,可将上条中的A1(t)及A2(t)化成

A1(t)=ReA10ei(ωt+φ1)

A2(t)=ReA20ei(ωt+φ2)

从而

A(t)=ReA10ei(ωt+φ1)+ReA20ei(ωt+φ2)

=Re〔A10ei(ωt+φ1)+A20ei(ωt+φ2)

这说明,为了计算A(t),可先引入复量

A2=A20ei(φt+φ2)

尔后先计算,然后从得到A(t),于是,简谐量的迭加已化为复量的代数运算。引入复电流和复电压的好处还在于可引入复阻抗。例如某段电路上的的比值

也是一个复数,它的模恰好是该段电路的阻抗Z=U0/I0,其中角φ=φu-φi,若引入复阻抗

则有

此公式在形式上全同于直流电路中的形式,可见在对待复电压,复电流及复阻抗时,可完全引用直流电路中的相应公式。

对于纯电阻元件R,因有ZR=R,φu-φi=0,故知其复阻抗为

对于纯电容元件C,因有Zc=1/ωc,,故其复阻抗为

对于纯电感元件L,因有ZL=ωL,,故其复阻抗为

在上述结果的基础上,不难得到其它更复杂一些情况下的结果。

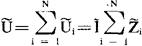
例如,对于N个复阻抗分别为的元件的串联电路,因复电流是公共的,故各元件上的分复电压分别为

,总复电压为

可见该串联电路的总复阻抗

又如对于N个复阻抗分别为的元件的并联电路,因端复电压相同的,故通过各元件的分复电流应分别为,于是总复电流为

可见该并联电路的总复阻抗满足下面公式

这些结果在形式上全同于直流电路中的相应结果。

对于更复杂的交流电路,作电流、电压、电动势及阻抗的复量计算时,基尔霍夫定律仍然适用。

应该注意,各复量中有物理意义的是它们的模和复角。所以进行复量运算之后,重要的是计算它们的模和幅角,这是比解直流电路复杂之处。

随便看

 

离鸟网收录3541549条中英文词条,其功能与新华字典、现代汉语词典、牛津高阶英汉词典等各类中英文词典类似,基本涵盖了全部常用中英文字词句的读音、释义及用法,是语言学习和写作的有利工具。

 

Copyright © 2004-2024 vtrois.com All Rights Reserved
更新时间:2026/4/19 20:59:59