消费者需求基本矩阵方程Consumer Demand Basic Matrix
假定效用函数u(x)是二次连续可微分的, x∈X是消费丛,需求函数(p,w)定义为
(p,w)={x∈X px≤w,若px′≤W则x=x′或非x′=x}
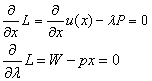
其中价格p和财富w是预先给定的.那么经典最大化问题max{u(x)x∈X,px=w}的解就是x0=(p,w)。考虑对应的拉格朗日函数,由极值的一阶条件得到

对应于解x
0=(p,w),可以解出λ的解

用U表示u的海赛矩阵,U
0为U在x
0=(p,w)的值,一阶条件就化为
U
0dx-λ
0dp-pdλ=0
dw-pdx-x
0dp=0
写成矩阵形式就是

其中I是单位矩阵(K阶),这就是消费者需求基本矩阵方程。