网站首页  词典首页


请输入您要查询的字词:

 

字词 亚铵法蒸煮液的分析计算
类别 中英文字词句释义及详细解析
释义 亚铵法蒸煮液的分析计算

1.试样的制备与鉴别

[说明]用移液管吸取5mL试样(蒸煮液)于100mL容量瓶中,加水稀释至刻度,备用。用移液管吸取上述稀释试样5mL于装有10mL蒸馏水的250mL锥形瓶中,加3%双氧水20mL及1滴甲基橙指示剂,如呈红色,表示有亚硫酸氢铵及亚硫酸铵同时存在;如呈黄色,表示有亚硫酸铵及氢氧化铵同时存在。

2.总亚硫酸盐的测定计算

[说明]总亚硫酸盐包括亚硫酸氢铵和亚硫酸铵。

[测定方法]用移液管吸取5mL试样于100mL容量瓶中,加水稀释至刻度,摇匀。吸取5mL稀释的试液于盛有25mL0.05M碘液的250mL锥形瓶中(如试样中有游离氨存在,则加入0.05M硫酸10mL中和)混合均匀,以0.1MNa2S2O3滴定至淡黄色,加淀粉指示剂1~2mL,继续滴定至蓝色消失为止。

式中 G-总亚硫酸盐含量(g/L))[以(NH4)2SO3计]

M1V1-碘标准溶液的摩尔浓度(mol/L)及加入体积(mD

M2、V2-滴定用Na2S2O3标准溶液的摩尔浓度(mol/L)及耗用体积(mL)

0.058-与1mL1mol硫代硫酸钠溶液相当的(NH4)2SO3的量(g)

3.亚硫酸氢铵的测定计算

[测定方法]用移液管吸取上述制备的试样液5mL于盛有20mI蒸馏水的250mL锥形瓶中,加入3%双氧水20mL滴入1~2滴甲基橙指示剂,如呈红色,以0.1MNaOH标准溶液滴定至黄色。

式中 G1-亚硫酸氢铵含量(g/L)(以NH4HSO3计)

M3、V3-滴定用NaOH标准溶液摩尔浓度(mol/L)及体积(mL)

0.09911-与1mL1molNaOH溶液相当的亚硫酸氢铵的量(g)

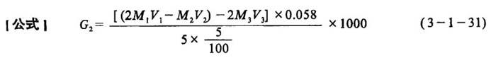
4.亚硫酸铵的测定计算

[说明]由总亚硫酸铵减去亚硫酸氢铵即为亚硫酸铵的含量。

式中 G2-亚硫酸铵的含量(g/L)[以(NH4)2SO3计]

其它同式3-1-29及式3-1-30

5.氢氧化铵的测定计算

[测定计算]用移液管吸取上述制备的试样液5mL于盛有20mL蒸馏水的250mL锥形瓶中,加3%双氧水20mL及1~2滴甲基橙指示剂,如呈黄色,以0.05M硫

酸滴定至橙红色为止。

式中 G3-氢氧化铵含量(g/L)(以NH计)

M、V-硫酸标准溶液的摩尔浓度(mol/L)及体积(mL)

0.034-与1mL1mol硫酸溶液相当的氨的量(g)

6.硫酸铵的测定计算

[测定方法]用移液管吸取上述制备的试样液5mL于250mL锥形瓶中,加甲基橙1~2滴(如呈红色,则加0.05M硫酸2mL),如呈黄色,则以0.05M硫酸中和后,并过量10mL。然后加热煮沸5min钟,冷却后以0.1MNaOH中和之,加入中性的25%甲醛溶液5mL,混合3~5min钟,加入1%酚酞3~4滴,以0.1MNaOH滴定至玫瑰红色不褪为止。

❶ 当亚硫酸铵与亚硫酸氢铵混合存在时

式中 G4-硫酸铵含量(g/L)[以(NH4)2SO4计]

M、V-滴定用NaOH标准溶液的摩尔浓度(mol/L)及体积(mL)

-分别为由亚硫酸氢铵换算为硫酸铵及由亚硫酸铵换算为硫酸铵的换算系数

0.06607-与1mL1mol氢氧化钠相当的硫酸铵量(g)

其它同上

❷ 当亚硫酸铵与氢氧化铵混合存在时

式中 -由氢氧化铵换算为硫酸铵的换算系数

其它同上

随便看

 

离鸟网收录3541549条中英文词条,其功能与新华字典、现代汉语词典、牛津高阶英汉词典等各类中英文词典类似,基本涵盖了全部常用中英文字词句的读音、释义及用法,是语言学习和写作的有利工具。

 

Copyright © 2004-2024 vtrois.com All Rights Reserved
更新时间:2026/4/20 0:18:17