亚硫酸钠和硫代硫酸钠混合作漂白脱氧剂用量的计算
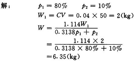
【说明】 在采用低纯度的亚硫酸钠或硫代硫酸钠作脱氯剂时,一般药品中均不同程度地彼此包含。而两者又都具有脱氯剂的作用,因此,在计算其用量时,就要分别计算,否则,只按一种计算,而忽略了另一种的脱氯作用,造成脱氯剂过量,而给洗涤带来不良影响。 根据式1-9-23和式1-9-25,设脱氯剂中亚硫酸钠含量为p1(%),硫代硫酸钠含量为p2(%),亚硫酸钠作用掉的有效氯为X(kg)(也可假设硫代硫酸钠作用掉的有效氯为Xkg),则硫代硫酸钠作用掉的有效氯为(W1-X)(kg),由此可得出下例两组计算公式。 【公式】 令亚硫酸钠作用掉的有效氯量为Xkg:  式中 W——混合脱氯剂用量(kg) W1——漂后残氯量(kg),计算见式1-9-24 p1、p2——分别为脱氯剂中亚硫酸钠及硫代硫酸钠含量(%) 【例3】 某厂-50m3漂池,漂后残氯含量为0.04g/L,现用Na2SO3作脱氯剂,其纯度为80%,另含有Na2S2O310%,求漂白后脱氯剂的用量?  即混合脱氯剂的最低添加量为6.35kg  |