网站首页  词典首页


请输入您要查询的字词:

 

字词 井冈霉素
类别 中英文字词句释义及详细解析
释义 井冈霉素

农用抗生素。

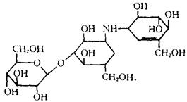
由吸水链霉菌井冈变种产生的一种代谢物。化学名称:N-〔(1S)-(1,4,6/5)-3-羟甲基-4,5,6-三羟基-2-环己烯基〕〔O-β-D-吡喃葡萄糖基-(1→3)〕-1S-(1,2,4/3,5)-2,3,4-三羟基-5-羟甲基-环己基胺。化学结构式如下。上海农药研究所1973年分离的菌株,其代谢产物的理化性质、生物活性与日本的有效霉素(Validamycin)基本相同。纯品为白色粉末,在95~100℃软化。135℃时分解,易溶于水,微溶于乙醇,溶于甲醇、二氧六环、二甲基酰胺,不溶于丙酮、氯仿、苯、石油醚等。

pH3~9水溶液中稳定。其主要成分为A、B、C、D、E、F六种组分组成,其中A、E、F三组分对水稻纹枯病菌菌丝产生异常分枝的能力最强。其作用机制是对丝核菌的海藻糖酶有明显抑制,从而抑制菌体对葡萄糖的利用,导致菌丝伸长及侵染菌块的形成受阻。田间试验表明40单位的药液喷洒对水稻纹枯病具有明显的预防和治疗作用,并能保持15~20天药效,对水稻安全。亦用于防治小麦纹枯病,但效果稍差于对水稻纹枯病。制剂为发酵棕褐色浓缩水剂,亦有少量粉剂。

对人畜安全;小鼠急性经口LD50>20000mg/kg。小鼠静脉注射LD50>13000mg/kg,对皮肤、眼无刺激。

随便看

 

离鸟网收录3541549条中英文词条,其功能与新华字典、现代汉语词典、牛津高阶英汉词典等各类中英文词典类似,基本涵盖了全部常用中英文字词句的读音、释义及用法,是语言学习和写作的有利工具。

 

Copyright © 2004-2024 vtrois.com All Rights Reserved
更新时间:2026/4/18 0:16:58