网站首页  词典首页


请输入您要查询的字词:

 

字词 泰勒公式
类别 中英文字词句释义及详细解析
释义
泰勒公式

泰勒公式taile gongshi

若函数f(x)❶在点x0的某邻域U (x0)内有定义;
❷在这邻域内有直到n—1阶的导函数;
❸在点x0处存在n阶导数,f(·) (x0),则

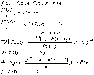
f(x)=f(x0) +f′ (x0) (x-x0) +

其中

Rm (x) =0 ((z-x0)n) (x→x0). (2)

式 (1)称为泰勒公式,而R最 (x)的表达式 (2)称为皮亚诺余项.
若函数f (x)❶在闭区间 [ a,b]上有定义;
❷在这闭区间上有直到n阶的连续的导函数;
❸有含有点x0的开区间 (a,b) 内存在n+1阶导函数f(n+1 ) (x),则

其中

(0<θ<1) (4)

x0 )m-1(0<θ<1) (5)

公式 (3)称为泰勒公式,式 (4 )称为拉格朗日余项,式 (5)称为柯西余项.
泰勒公式(1),(3)在x0=0时,称为麦克劳林公式,即

麦克劳林公式的余项Rm (x) 的表达式有
皮亚诺形式: Rm (x) =0 (xm) (x→0)
拉格朗日形式:(0<θ<1)
柯西形式:(0<θ<1).
当n=0时,带拉格朗日余项的泰勒公式变成

x)=f(x0)+f′[x0 +θ(x -x0)](x-—x0) (0<θ<1)

这就是拉格朗日中值定理,可见泰勒公式是拉格朗日中值定理的推广.
泰勒公式是用多项式近似地表示已知函数的重要工具,无论在理论上还是在实际应用上都是重要的.泰勒公式的余项是检验多项式可靠程度的工具,其中拉格朗日余项可解决大部分定量检验的问题.
☚ 洛必大法则   麦克劳林公式 ☛
00013531
随便看

 

离鸟网收录3541549条中英文词条,其功能与新华字典、现代汉语词典、牛津高阶英汉词典等各类中英文词典类似,基本涵盖了全部常用中英文字词句的读音、释义及用法,是语言学习和写作的有利工具。

 

Copyright © 2004-2024 vtrois.com All Rights Reserved
更新时间:2026/4/21 7:30:49