五肽胃泌素[中]
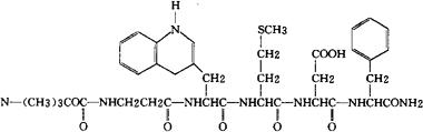
C37H49N7O9S=767.90 CAS-5534-95-2 N-[(1,1-二甲基乙氧)羰基]-β-丙氨酰-L-色氨酰-L甲硫氨酰-L-α-天冬氨酰-L-苯丙氨酰胺。 N-[(1,1-Dimethylethoxy)carbonyl]-β-alanyl-Ltryptophyl-L-methionyl-L-α-aspartyl-L-phenylaninamide. N-羧基-β-丙氨酰-L-色氨酰-L-甲硫氨酰-L-α-天冬氮酰苯-L-丙氨酰胺-N-叔-丁酯。 N-Carboxy-β-alanyl-L-tryptophyl-L-methinoyl-L-α-aspartylphenyl-L-alaninamide N-tert-butyl ester. 诊断用药。能刺激胃酸的分泌。用于胃分泌功能检查及胰腺功能试验。 五肽促胃液素。 Pentagastrin,Gastrin Pentapeptide,Gastrodiagnost,Peptavlon,Acignost,AY 6608,ICI 50123. 五肽胃泌素注射液。 INN,BAN,BP,DCF,DCIT,JAN,NFN,NP,USAN,MI.  |