网站首页  词典首页


请输入您要查询的字词:

 

字词 五日生化需氧量(BOD5)的测定
类别 中英文字词句释义及详细解析
释义 五日生化需氧量(BOD5)的测定

1.原理

将注满水样的溶解氧瓶(培养瓶)塞严使不透气,在恒温下培养五天。培养前后分别测定溶解氧浓度,由两者的差值算出每升水样消耗氧的质量,即BOD5值。

由于多数水样中含有较多需氧物质,需在培养前对水样进行稀释。稀释的程度应使培养中所消耗的溶解氧(DO)大于2mg/L,而剩余DO在1mg/L以上。稀释水通常要通入空气进行曝气,使其中溶解氧接近饱和。稀释水中还加入一定量的无机营养盐的缓冲物质(磷酸盐、钙、镁的铁盐等),以保证微生物生长的需要。

对于不含或含微生物很少的废水,应进行接种,引入能分解废水中有机物的微生物。

在测定BOD5的同时,需用葡萄糖和谷氨酸标准溶液完成验证试验。

2.试剂

除测定溶解氧的试剂外,尚需配制:

(1)盐溶液:以下四种溶液贮存在玻璃瓶内,置于暗处,至少可稳定一个月。发现有生物滋长迹象,应弃去。

❶ 磷酸盐:缓冲溶液。

将8.5g磷酸二氢钾(KH2PO4)、21.75g磷酸氢二钾(K2HPO4)、33.4g七水磷酸氢二钠(Na2HPO4·7H2O)和1.7g氯化铵(NH4CI)溶于约500mL水中,稀释至1000mL并混匀。溶液pH值应为7.2。

❷ 七水硫酸镁:22.5g/L溶液。

将22.5g的七水硫酸镁(MgSO4·7H2O)溶于水中,稀释至1000mL并混匀。

❸ 氯化钙:27.5g/L溶液。

将27.5g的无水氯化钙(CaCl2)(若用水合氯化钙,要取相当的量)溶于水,稀释至1000mL并混匀。

❹ 六水氯化铁(Ⅲ):0.25g/L溶液。

将0.25g六水氯化铁(Ⅲ)(FeCl3·6H2O)溶解于水中,稀释至1000mL并混匀。

(2)稀释水。

取以上四种盐溶液各1mL,加入约500mL水中,稀释至1000mL并混匀。将此溶液置于20℃下恒温,曝气1h以上,确保溶解氧浓度不低于8mg/L。此溶液的5日生化需氧量不大于0.2mg/L。此溶液应在8h内使用。

曝气时要使水不被有机物质、氧化或还原性物质或金属污染。建议用压缩空气瓶,或采用隔膜泵压缩机,使空气不接触润滑油并经过滤和洗涤。或用真空式射水吸气管曝气。

(3)接种的稀释水:制革废水一般含有足够的微生物,不需另行接种。如水样不含有足够的合适性微生物,可向每升稀释水中加1~5mL生活污水,作为微生物的接种。将已接种的稀释水在约20℃下保存,8h后尽早使用。

已接种的稀释水的5日(20℃)耗氧量应在每升0.3~1.0mg之间。

(4)HCl溶液:0.5mol·L-1

(5)NaOH溶液:20g/L。

(6)Na2SO3溶液:1.575g/L。此溶液不稳定,需当天配制。

(7)葡萄糖-谷氨酸标准溶液:将无水葡萄糖(C6H12O6)和谷氨酸(HOOC-CH2-CH2-CHNH2-COOH)在103℃干燥1h后,各称取150±1mg,溶于蒸馏水中,稀释至1000mL并混匀。此溶液于临用前配制。

3.仪器

(1)培养箱:能控制在20±1℃。

(2)溶解氧瓶(培养瓶):细口玻璃瓶,容量在250~300mL之间,带有磨口玻璃塞,并具有供水封用的钟形口,最好是直肩的。

(3)用于样品运输和贮藏的冷藏手段(0~4℃)。

(4)稀释容器:带塞玻璃瓶,刻度精确到毫升,其容积大小取决于使用稀释样品的体积,或用1000mL量筒。

4.操作步骤

(1)样品的贮存和预处理

样品需充满并密封于瓶中,在2~5℃保存到分析时。一般应在采样后6h内测定。若需远距离转运,任何情况下贮存不超过24h。

样品的中和:如果样品的pH不在6~8之间,先做单独试验,确定需用的盐酸或氢氧化钠溶液的体积,再中和样品,不管有无沉淀形成。

含游离氯或结合氯的样品:加入亚硫酸钠溶液,注意避免加过量(刚使淀粉-碘化钾不变蓝)。

过饱和溶解氧的样品:将水样温度升至约20℃,在半充满的容器内充分摇动,以赶出过饱和的溶解氧。

(2)水样的稀释

稀释倍数的确定:根据预期BOD5值,按表5-8确定稀释比。

若BOD5值难于预选估计,可由重铬酸钾法测得的COD值分别乘以0.075、0.15、0.225,算出三个稀释倍数。配制三个不同稀释比的培养液,最后选取符合要求条件的测定结果。

表5-8 测定BOD5时建议稀释的倍数

表中:R-河水;E-生物净化过的污水;S-澄清过的污水;C-原污水;Ⅰ-严重污染的工业污水。

按选定的稀释比例配制培养液:将需要量的水样用虹吸法沿器壁引入稀释容器或量筒,用稀释水或接种稀释水稀释,小心混匀,避免产生气泡。

若采用的稀释比大于100,将分两步或几步进行稀释。

(3)测定

培养液装瓶:将稀释后的水样用虹吸法充满两个培养瓶至稍溢出,加塞,瓶内不应留有气泡。如有三种稀释比的培养液则装6瓶。

平行空白实验:按同样方法装两瓶,用稀释水或接种稀释水(空白溶液)。

将瓶子分成两组,每组都含有选定稀释比的稀释水样(培养液)和空白溶液。当天测定第一组中每瓶的溶解氧浓度。另一组瓶放于20℃培养箱内,在暗中放置5天后,测定每瓶的溶解氧浓度。

5.结果的表示

被测定溶液若满足以下条件,表明选定的稀释比恰当,测定结果可靠。即培养5天后:

剩余DO≥1mg/L;

消耗DO≥2mg/L。

若不能满足以上条件,应舍掉该组结果。若有几种稀释比所得数据均符合以上条件,则几种稀释比所得结果均有效,以其平均值表示检测结果。

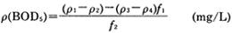
式中 ρ1——培养液(稀释后的水样)当天的溶解氧浓度(mg/L);

ρ2——培养液培养5天后的溶解氧浓度(mg/L);

ρ3——空白溶液当天的溶解氧浓度(mg/L);

ρ4——空白溶液培养5天后的溶解氧浓度(mg/L);

f1——稀释水(或接种稀释水)在培养液中所占比例;

f2——水样在培养液中所占比例。

6.验证试验

将20mL葡萄糖-谷氨酸标准溶液用接种稀释水稀释至1000mL,并按前述试验步骤进行测定。

得到的BOD5应在180~230mg/L之间。否则,应检查接种稀释水。如果必要,还应检查分析人员的技术。

验证试验与试验样品同时进行。

7.注意事项

(1)玻璃器皿应彻底洗净。先用洗涤剂浸泡清洗,然后用稀盐酸浸泡,最后依次用自来水、蒸馏水洗净。不能沾附有毒的或生物可降解的化合物。

(2)若只需要测定有机物降解的耗氧量,需加入硝化抑制剂。为此在每升稀释水样中加入1~2mL浓度为50mg/L的烯丙基硫脲(ATU,C4H8N2S)溶液或一定量的固定在氯化钠(NaCl)上的α-氯代-6一三氯甲基吡啶(TCMP,Cl-C5H3N-CCl3),使TCMP在稀释样品中的浓度大约为0.5mg/L。

(3)本方法适用于BOD5≥2mg/L并且不超过6000mg/L的水样。BOD5大于6000mg/L的水样仍可用本方法,但会因稀释造成误差,应对测定结果慎重说明。

随便看

 

离鸟网收录3541549条中英文词条,其功能与新华字典、现代汉语词典、牛津高阶英汉词典等各类中英文词典类似,基本涵盖了全部常用中英文字词句的读音、释义及用法,是语言学习和写作的有利工具。

 

Copyright © 2004-2024 vtrois.com All Rights Reserved
更新时间:2026/4/19 17:40:23