网站首页  词典首页


请输入您要查询的字词:

 

字词 沈括
类别 中英文字词句释义及详细解析
释义

沈括1031—1095

沈括


北宋科学家、政治家。字存中,杭州钱塘(今浙江杭州)人。母精通文理,幼从母受业。嘉祐八年(1063年)进士,任扬州司理参军。神宗时参与王安石变法活动。熙宁五年(1072年)曾测量汴河水道,次年,奉命详定三司令敕,考察两浙农田水利、差役等事。熙宁八年使辽,曾与辽道宗面争黄嵬大山、天池子地界。次年拜翰林学士、权三司使,改革陕西盐政。因请免两浙下户役钱被蔡确弹劾,罢权三司使,以集贤殿学士知宝州。元丰三年改知延州,兼鄜延路经略安抚使,加紧训练民兵,部署防御。次年,几番打退西夏进攻,以保全南路边塞有功授朝散郎,后转龙图阁直学士。元丰五年(1082年) 给事中徐禧失陷永乐城(今陕西米脂西),括受连累,贬为均州团练副使。后隐居,筑梦溪园于润州丹徒县朱方门外(今江苏镇江东郊),于此撰成科学巨著《梦溪笔谈》。他辛勤研究,知识渊博,在许多学科领域中都获得了新成就。他观测极星位置,绘图二百余幅;著《浑仪》、《浮漏》、《景表》三议,新制浑仪、浮漏。在世界上最早发现地磁偏角的存在;还认识到磁石的两极性。为解决阴阳历间的调和问题,主张采用《十二气历》,与今之阳历相似。在数学方面创立“隙积术”(二阶等差级数的求和法)和“会圆术”(已知圆的直径和弓形的高,求弓形的弦和弧长的方法)。在光学方面对光线直线和凹面镜成像进行观察,发现倒像是因为光线穿过“碍”(焦点)形成光束的道理。在声学方面,经过实验证明共振现象。在地理学方面,通过实地观察发现,雁荡山山岭是由于地面流水的侵蚀挖切而成;绘制《天下州县图》二十幅;石油的名称亦由他命定。在生理和医学方面,纠正当时流行的“人有水喉、食喉、气喉”的说法,指出“人体不过只有咽(食道)和喉(气管)”;曾搜求大量有效单方,编著《灵苑方》(已佚),又有《良方》十卷(后改名《苏沈良方》,今存)。《梦溪笔谈》还详细记录了当时科学技术的最新成果,如卫朴的历算学、毕昇的活字印刷术、水工高超与木工喻皓的新技术等。其著作《长兴集》现尚存,《乙卯入国奏请》、《入国别录》提供了对辽交涉史料,今仅存残本。

沈括(1031—1095)

宋钱塘(今浙江杭州)人,随母徙籍吴县(今江苏苏州)。字存中,号梦溪丈人。父沈周曾在苏州二度任职,并娶苏州许氏。许洞甥。嘉祐八年(1063 年)进士。为扬州司理参军。治平二年(1065 年)入京编校昭文馆书籍。熙宁元年(1068 年)为馆阁校勘,删定三司条例。五年除太子中允、检正中书刑房,提举司天监,加史馆检讨。六年迁集贤校理,察访两浙农田水利。迁太常丞,同修起居注。以右正言知制诰,兼通进、银台司,出为河北西路察访使。八年使辽交涉划界。九年以淮浙灾伤为体量安抚使权三司使,迁翰林学士。十年因陈说免役事可变法令轻役,罢集贤院学士知宣州。元丰元年(1078 年)复龙图阁待制,知审官院。复以言罢知青州,未行。元丰三年(1080 年)知延州,兼鄜延路经略安抚使。五年以副总管种谔西讨援银、宥二州功,加龙图阁学士。为抗西夏请筑永乐城,城陷,责贬均州团练副使,随州安置。元祐元年(1086 年)徙秀州,继以光禄少卿、分司南京。三年移居润州梦溪园。政多治绩。博学善文,于天文、方志、律历、音乐、医药、卜算无所不通,科学上多有成就。曾上《熙宁奉元历》,编绘《天下郡县图》定名为《守令图》。著有《梦溪笔谈》《长兴集》《春秋机括》《梦溪忘怀录》《沈存中良方》《灵苑方》等。

4

(词)宋·沈括

楼上正临宫外(《竹庄诗话》卷八作苑),人间不见仙家(《竹庄诗话》作外间不见人家)。

寒食轻烟⑴薄雾,满城明月梨花。

(词)宋·沈括

按舞骊山影里,回銮渭水光中。

玉笛一天明月,翠华满陌东⑴风。

(词)宋·沈括

① 四首 原注:汴京作(元丰三年)。

鹳鹊楼头日暖,蓬莱殿里花香。

草绿烟迷步辇,天高日近龙床。

(词)宋·沈括

殿后春旗簇仗,楼前御队穿花。

一片红云闹处,外人遥认官家(《侯鲭录》卷七)。

沈括

沈括1031—1095

科学家、政治家、音乐理论家。字存中,杭州钱塘(今浙江杭州)人。嘉祐进士,历任沭阳《今江苏沭阳)主簿、宁国(今安徽宁国)县令,累官太子中允、提举司天监。曾参与王安石变法,赴两浙、淮南考察。又出使辽国,后拜翰林学士、权三司使。元丰三年知延州(今陕西延安),后坐事贬均州(今湖北均县西北)、秀州(今浙江嘉兴)。晚年居润州梦溪园(今江苏镇江东郊),撰《梦溪笔谈》三十卷。“博学善文,于天文、方志、律历、音乐、医药、卜算,无所不通,皆有所论著” (《宋史》)。曾深入研究燕乐。认为作曲应该“声词相从”,器乐演奏者应“通天下之志”,不能只注意声调和节奏,声乐演唱者应做到声中无字、字中有声。知延州时,曾亲自为士兵所唱凯歌填词。曾撰有音乐论著多种,巳佚。

☚ 王朴   蔡元定 ☛
沈括

沈括1032—1096

字存中,钱塘(今浙江杭州)人。嘉祐八年(1063)进士。授扬州司理参军。神宗朝,累官太子中允,提举司天监,转太常丞,擢知制诰,拜翰林学士。坐事谪均州团练副使,徙秀州。晚年居润州梦溪园。绍圣三年卒,年六十五。《宋史》附于《沈遘传》,《东都事略》有传。近人张荫麟撰有《沈括编年事辑》,今人胡道静编有《沈括事迹年表》(《梦溪笔谈校正》附录),徐规撰有《沈括事迹编年》。括博学善文,于天文、地理、律历、医药、卜算、音乐无所不通。有《长兴集》四十一卷,《梦溪笔谈》二十六卷。词存《开元乐》四首,见《侯鲭录》卷七。《全宋词》收录。

☚ 孙洙   释了元 ☛
沈括

沈括1031—1095

字存中,钱塘(今浙江杭州)人。宋仁宗嘉祐八年(1063),举进士,除扬州司理参军,入为馆阁校勘。神宗熙宁(1068—1077)中,历检正中书刑房公事,提举司天监,迁集贤校理,擢知制诰兼知通进银台司,为翰林学士。后降知宣州。元丰三年(1080)除鄜延路经略使、知延州,元丰五年,责授均州团练副使,随州安置,后徙秀州。晚年居润州梦溪园,著《梦溪笔谈》。他博闻多识,于古代科技建树尤多,文章宏赡淹雅,具有典则,其四六表启有古作者之遗范。沈诗以描写山川行役,吊古抒怀者为多,勇于将矿产入诗。如“二郎山下雪纷纷,旋卓穹庐学塞人。化尽素衣冬未老,石油都似洛阳尘。”(《延州诗》)其代表作品有《汉东楼》、《开元乐词》、《江南曲》等,诗风俊爽流逸。他的《梦溪笔谈》中多有论诗之语。有《长兴集》四十一卷,《四库全书》所著录者为残本,存十九卷,仅存文,《两宋名贤小集》中《沈中允集》仅为诗。今人胡道静辑有《沈括诗词辑存》,1985年上海书店出版。《宋史》卷三三一有传。

☚ 刘挚   王令 ☛

沈括1031—1095

字存中,号梦溪翁。钱塘(今浙江杭州市)人。北宋科学家、政治家、文学家。与侄沈遘、沈辽并称“三沈”。初为沭阳主簿。仁宗嘉祐八年进士,为馆阁校勘,累官太子中允。提举司天监、三司使等。出使契丹、擢知制诰,还,拜翰林学士。出镇宣州。积极推行王安石变法。后变法失败,贬官均州团练副使。晚年定居润州梦溪园。著有《长兴集》四十一卷、《梦溪笔谈》二十六卷。
索引:沈括,存中,梦溪翁;百花堆、梦溪园、壳轩、苍峡亭、萧萧斋、岸老堂、花堆阁。

沈括

 字存中,北宋著名的自然科学家、思想家。号梦溪翁,杭州钱塘(今浙江杭州)人。所著《梦溪笔谈》至今流传甚广。至和元年(1054年),沈括袭父荫出任沭阳主簿,嘉祐八年(1063年)举进士,除扬州司理参军。熙宁中参与王安石变法活动,熙宁五年(1072年)提举司尺监,次年赴两浙考察水利、差役。八年使辽,驳斥了辽的争地要求,迁翰林学士、权三司使。熙宁末,因至张免除下户役钱,轻役依旧轮差,为御史蔡确劾,出知宜州。元丰三年(1080年),除鄜延路经略使、知延州,加龙图阁学士,后因永乐城陷,贬为均州团练副使。元祐三年(1088年),迁居京口梦溪,筑梦溪园(今江苏镇江东),直至去世。
 沈括博学多才,精通天文、地理、典制、律历、医药、音乐,在物理、化学、地质、生物等方面也有重要成就。在司尺监任上,他改造了撰浑、浮漏、景表三仪,并曾提倡与今阳历相似的新历法。在数学方面,他创立了“隙积术”和“会圆术”,弥补了《九章算术》之不足。他还发现了地磁偏角的存在,这比欧洲人早了四百多年。他对凹面镜成像原理、共振规律均有所探讨。并从雁荡山、太行山的地形和古生物遗迹,推论水的侵蚀作用和冲积平原的形成过程。沈括最先为“石油”命名。他还将记录下来的医方编为《录苑方》。《梦溪笔谈》一书,对当时科学发展和生产技术的情况,如毕升活字印刷、冶金方法,凡所见及,无所不录,堪称宋代科学技术的“百科全书”。此外,尚有《长兴集》、《苏沈良方》等传世。
沈括

沈括1029—1093

字存中,钱塘(今杭州)人。嘉佑中进士,累迁翰林学士、龙图阁待制,坐事谪均州团练副使,后以光禄少卿分司南京,居润州。博学能文,著有《梦溪笔谈》。《侯鲭录》存其词四首,皆咏唐玄宗开元乐事。

☚ 徐积   王安国 ☛
沈括

沈括1031—1095

北宋著名科学家、文学家。《宋史》有传。字存中。钱塘(今浙江杭州)人。沈括初以父任为沭阳主簿。仁宗嘉祐八年(1063)进士,为扬州司理,入馆阁校勘。神宗时参加王安石变法活动。熙宁五年(1072)提举司天监,置浑仪、景表,又招卫朴造新历。八年(1075)使辽,驳斥辽国争地要求。拜翰林学士,权三司使。后知延州以御西夏,颇有威名。元丰五年(1082)因徐禧失永乐城,受连累贬谪均州。晚年隐居润州,筑梦溪园以著述为乐。沈括平生博学善文,无所不通。所作古文笔调明快,语言精当。骚体赋《幽命》、《怀归》两篇,形象生动,言辞优美,为北宋赋坛抒情佳构。有《长兴集》30卷、《梦溪笔谈》29卷。

☚ 汪莘   沈与求 ☛

沈括1031~1095

北宋杰出的科学家。字存中。钱塘(今浙江杭州)人。曾任翰林学士。对自然科学具有广泛的兴趣,在天文、地理、地质、数学、物理、技术等多方面均具有较高的成就。富有革新思想,重视劳动人民在科学技术方面的作用,认为“百工、群有司、市井、田野之人”都参与了科学技术的发明创造。在医药方面,曾广泛收集民间验方,秘方,并“目睹其验”后才予以记载。其医药代表作有《良方》及《梦溪笔谈》中的医药部分,主张辨证论治,讲求药物实效,实事求是,反对过度夸张方剂或药物的功效。后人将苏轼收集的方剂与之掺合而成《苏沈良方》。此外,还辑有《灵苑方》一书,已佚。

沈括1031—1095

我国北宋时期科学家。字存中,杭州钱塘(今浙江杭州)人。仁宗嘉祐进士。神宗时积极参加王安石变法运动。曾任提举司天监、权三司使、翰林学士、知延州等职。晚年迁居润州(今江苏镇江)梦溪园,从事科学研究活动。他一生著述甚多,最著名的是《梦溪笔谈》,是当时一部罕见的综合性科学巨著。英国科学史家李约瑟称其为“中国科学史上的坐标”。其科技伦理思想主要表现在:(一)世无先知,注重实践。他说:“人有前知者,数十百千年事皆能言之,梦寐亦或有之,以此知万事无不前定。予以谓不然,事非前定。方其知时,即是今日,中间年岁,亦与此同时,无非先后。”(《(梦溪笔谈)选注》第177页,上海古籍出版社1978年版)“予占天候影,以至验予仪象,考数下漏,凡十余年,方粗见真数”(同上书,第50页)。(二)不畏艰险,勇于创新。熙宁五年沈括负责领导司天监以后,首先改革了浑仪、浮漏和影表等,并将其革新成果写成《浑仪议》、《浮漏议》和《影表议》三篇论文,阐明革新仪器的原理,论述了自己的天文学理论。他不顾守旧势力阻挠和反对,晚年又提出用“十二气历”代替原来的历法。虽未实行,但他坚信“异时必有用予之说者”(同上书,第258页)。800年后太平天国颁发了同其基本原理完全一致的《天历》。现在英国气象局用的《肖伯纳历》,与其原理也相同。《三)尊重他人,不计名利。他对于别人的科研成果十分尊重。《梦溪笔谈》中,对河工高超的巧合龙门,木匠喻皓的建筑技术,平民毕升的活字印刷,都有详细的记录,传之后世。他为自己领导修成的《奉元历》写的序言中只提卫朴,不提自己。(四)刻苦钻研,博学多识。沈括一生政务占去了大部分时间,但无论得志、失意,他从未放弃科学研究,他的广博的学识,全是靠自学得来的。他在天文学、数学、物理学、化学、地学、医学、生物学,几乎所有的自然科学领域都进行过深入的研究,并取得卓越的成果,李约瑟称沈括为“中国整部科学史中最卓越的人物”。竺可桢也说:沈括“潜心研究科学,亦是为中国学术史增光”(《竺可桢文集》第69页,科学出版社,1979年版)。

沈括(1031~1095)

宋代著名科学家。字存中,钱塘(今浙江杭州)人。仁宗嘉祐末年进士,官至翰林学士。通天文、历法、物理、数学、考古、地质等,知识广博,著有《梦溪笔谈》一书传世。本书影响很大,遍及国外。在医学方面也有造诣,注重实践,反对泥古,撰有《良方》一书。原书已佚。今传世部分,由后人收集在《苏沈良方》中。

沈括

宋代科学家。杭州市钱塘人,1031年生于四川省简阳(今简阳市)。北宋至和元年(1054)借父荫出仕9年后,于嘉祐八年(1063)登进士第。历任地方官,有政绩。1061年在芜湖修万春圩,辟田1000余顷。1064年任扬州司理参军。1066年编校昭文馆书籍。1068年至1077年参与王安石变法。1072年主管司天监,修汴河,1074年制成新的浑天仪和漏壶。1080年知延州,1081年与西夏作战,1082年授均州团练副使。1087年完成《天下郡县图》,图共9幅。其文集有《长兴集》41卷,今存19卷。此后30年间结合公务进行科学活动,如负责编制《奉元历》时,发现了磁偏角;在扬州工作时,创出积隙术(高阶等差级数术和);奉命测量汴运河地形,是世界首次;出差河北,发现大平原的沉积成因; 出差两浙,发现雁荡山的侵蚀成因;等等。这类领先世界2~8世纪的学术观点,有10项以上。元丰三年(1080)任鄜延路经略安抚使时,考察了延河两岸的油苗,遂即在众多的称谓中,确定“石油”一词。晚年隐居于润州(今江苏省镇江市),1095年病逝于梦溪园。所著《梦溪笔谈》600余篇,1/3内容属于自然科学。

沈括

147 沈括1031—1095

北宋科学家、政治家。宋元科学发展的先驱。字存中,浙江钱塘(今杭州)人。仁宗嘉祐八年(1063)进士。神宗时任翰林学士,累官太子中允。他“博学善文,于天文、方志、律历、音乐、医药、卜算,无所不通,皆有所论著。”(《宋史·沈括》)为科学史乃至世界史上罕见的奇才。他注重实际,能深入下层实地考察,并亲自进行科学实验,掌握了大量的第一手材料。在数学、天文、物理、地理、地质等许多学科和广泛领域均有极大贡献。在数学方面,发明“隙积术”,给出长方台形垛积公式,开辟了研究高阶等差级数求和问题的新方向。创立“会圆术”,在中国数学史上第一个研究弓形的弦、矢(高)、弧间关系,推出计算弧长的近似公式。该公式在《授时历》中得到实际应用。计算了“棋局都数”,运用了组合方法与指数运算律。这在中世纪是很先进的数学思想。对于数学方法,沈括认为应“见简即用,见繁即变,不胶一法,乃为通术。”给出不少简算法。晚年著笔记体文集《梦溪笔谈》30卷。内容甚丰,领域极广。总结了古代到北宋中叶的科技成就,且极富科学创见。著名科技史家李约瑟(J.Needham)誉之为“中国科技史的里程碑”。

☚ 贾宪   李冶 ☛

沈括

065 沈括1031—1095

北宋科学家。毕生献身科学,所撰《梦溪笔谈》26卷,又 《补笔谈》3卷,《续笔谈》1卷,计30卷609条。其中大量篇幅记载了我国古代特别是北宋时期的自然科学成就。在物理学方面,他发现了地磁偏角的存在;阐述了凹面镜成像的原理。特别是对声学的研究有着很多的精辟见解,他阐述了关于乐律、古琴的制作和传声、古乐钟的发声、共鸣现象等声学知识,并记载了声的共振实验,在我国古代声学发展史上占有相当重要的地位。

☚ 何承天   赵友钦 ☛

沈括

061 沈括

宋代科学家和政治家。晚年著有《梦溪笔谈》,其内容包括数学、物理、化学、天文、地质、地理、气象、工程技术、生物、医药等。“石油”这一名词即为该书首次使用。并对石油的性状、用途颇有研究,曾以石油制成碳黑以制墨,时称“延川石液”;还曾用石油炼制出“猛火油”并用于军事,是世界最早的炼油技术。

☚ 陶弘景   宋应星 ☛

沈括

069 沈括1031—1095

宋代科学家。他1066年始习天文,通过实践观测,认识到岁差现象是一种自然规律,曾用半面涂了白粉的弹丸演示月相变化,判断陨石成分主要是铁,指出北极星不位于北天极,行星有往复视运动现象。在主管司天监期间,改制天文仪器,推荐卫朴编《奉元历》,发现太阳视运动不均匀,“冬至日行速……夏至日行迟”,提出《十二气历》,建议用以节气为主的阳历,认为规则简单,便于指导农事,著有《浑仪议》、《浮漏议》、《景表议》等。晚年著《梦溪笔谈》,学识渊博广泛。

☚ 苏颂   韩公廉 ☛

沈括

081 沈括

北宋科学家。注重实地考察。曾经兴修沂沐河水利,筑成渠堰,开辟良田。规划芜湖万春圩,免除水害。熙宁八年(1075)撰写《使契丹图抄》1卷,并制作木刻地形模型,作为边郡仿制的样品。熙宁九年(1076)奉旨编修《天下州县图》,元祐二年(1087)编成。地质学方面,由雁荡山的地形,认识流水的侵蚀作用;从太行山岩石中的化石,推论冲积平原的形成及海陆变迁。记载陕北一带石油,预测“此物后必大行于世”。气候学方面,阐述物候差异及气候变迁。此外,对月光来源及盈亏关系,黄道与白道交点的移动速率,虹的形成,地磁偏差现象等都有发现和记述。

☚ 李吉甫   郑樵 ☛

沈括

038 沈括1031—1095

撰《梦溪笔谈》30卷,在第26卷“药议”及《续笔谈》、《补笔谈》中记载大量医药学方面的成就。对药物形态、用途、体内吸收过程均有论述。又著《沈氏良方》10卷,记录大量医疗验方,收集许多疾病诊治及用药等民间医话,有一定参考价值。其中秋石方记录了从人尿中提取性激素制剂,实为世界制药化学史上光辉业绩。沈括为我国科技史上杰出人物,受到中外人士赞誉。

☚ 蔺道人   钱乙 ☛
沈括

沈括1031—1095,近人考证为1032~1096ShenKuo

北宋科学家、政治家。字存中,杭州钱塘人。仁宗嘉祐进士,神宗时参加王安石变法运动。熙宁五年(1072)提举司天监,次年赴两浙考察水利、差役。熙宁八年出使辽国,根据图籍,据理力争,驳斥其争地要求。元丰三年(1080)知延州(今延安),防御西夏。后二年,边将徐禧为西夏败于永乐城(今陕西米脂县),因兵少未救连累受贬。其后乃脱离仕途,于元祐元年(1086)居润州,筑梦溪园(今江苏镇江东郊),举平生见闻,撰《梦溪笔谈》。沈括具有多方面的才能,《宋史》说他“博学善文”,对于天文、地理、地质、数理、气象、农业、医药、历法、法律、音乐等都有一定的造诣。在他从政期间,曾经兴修水利,修渠筑堰,开辟良田,做了许多有利于生产的工作。在司天监时,观测天象,绘图多幅,改造仪器,并提倡新历法,与现今阳历相似。他还曾奉旨编修天下州县图。沈括善于观察自然现象,善于动脑思索,常有独到的见解。他的著述很多,至今除《梦溪笔谈》、《长兴集》(文集)残本(原四十一卷,存十九卷)和一部分医方外,均已佚失(参阅“梦溪笔谈”条)。

☚ 玄奘   郭守敬 ☛

沈括

沈括1031—1095Shen Kuo

我国宋代科学家。浙江杭州人。宋嘉佑年进士。参加过王安石变法,担任过宋代官吏。晚年居住于江苏镇江。著有《梦溪笔谈》 一书,内容涉及甚广,其中记述了他观察到的一些化学现象与化合物的性质。例如,他记录了流星陨落的经过,并用比较色泽及比重的方法,指出陨石主要是由铁组成的。“石油” 一词也是由沈括首先提出的,他说“鄜延境内有石油,……燃之有浓烟……”,并指出“此物后必大行于世”。充分说明我国早在宋代就发现了石油。他还观察到了金属活动性的差异,记有“信州铅山县有苦泉,流以为涧,挹其水熬之,则成胆矾,烹胆矾则成铜,熬胆矾铁釜久之亦化为铜。”胆矾即硫酸铜,具有苦味,其溶液在铁锅中加热时,发生了置换反应。此外,他还记述了太阴玄精石 (即石膏) 的晶形,加热后失去结晶水的情况。书中还指出朱砂 (即氧化汞) 具有剧毒。《梦溪笔谈》 一书,充分显示了沈括在观察与记述自然科学上的成就。

☚ 葛洪   李时珍 ☛

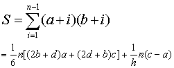
沈括

沈括1030—1094Shen Kuo

北宋科学家,著述极多.其《梦溪笔谈》中的数学内容有:
❶隙积术.设一长方台垛,其顶层宽有α个物体,长有b个;底层宽有c个,长有d个,共n层,则总数为

沈括给出了公式并提出了证明方法,成为中国垛积术研究的开端.
❷会圆术. 如图,设弓形的弦、矢、弧分别为c,v,s,沈括给出公式


❸棋局都数. 围棋盘上每个交叉点有三种可能:空、白、黑. 沈括运用组合学观点论证: 方n路n2个交叉点共有3n3种情况,全局方19路共3361种情形,计算中用到指效法则am·an=am+n.书中还涉及一些运筹学思想.

☚ 贾宪   秦九韶 ☛

沈括

沈括1031~1095Shen Kuo

字存中,北宋钱塘(今杭州)人,我国古代杰出的博学家。从小好学,除读儒家“经典”外,还通览诸子百家史记小说。曾当过县令、司天监、军器监、翰林院士等。对天文、历法有很深的研究,晚年所著的《梦溪笔谈》是举世闻名的科学巨著。
《梦溪笔谈》主要总结了我国北宋时期自然科学的辉煌成就。内容涉及天文、历法、气象、数学、水利、地质、地理、物理、化学、生物、医药、建筑、冶金、文史考古以及音乐艺术等十分广阔的领域。而且在上述诸方面的研究成果都达到很高的水平。《梦溪笔谈》也生动地记载了沈括在物理学上的杰出贡献。指南针是我国的四大发明之一。沈括对指南针做了许多实验,把指南针放在水面上、放在手指甲上、放在碗边上,都不够满意,后来他想到取单股蚕丝用蜡粘在指南针的针腰上,悬挂在避风处,针就平稳地指南了。这是世界上最早的关于指南针的实验记录。沈括还发现了磁偏角,他写道“常微偏东,不全南也。”这比1492年哥伦布远渡大西洋观测到的磁偏角早400多年。沈括在光学方面有很深的研究,他通俗地讲了凹面镜成像和针孔成像的道理,还对光的直线传播和折射现象进行了研究,解释了虹的科学道理。沈括对声学也有许多精辟的见解。他阐述了关于乐律、古乐钟的发声、古琴的制作和传声、共鸣等声学知识,并记载了共振实验,这对于声学的发展起了重要的促进作用。
沈括还制造和改进了不少天文仪器,如他改进了浑天仪、制造了浮漏(计时仪器)和测日影的铜表,并将其原理写成了《浑仪议》、《浮漏议》和《景表议》等论文;还解释了月亮盈亏和日、月蚀现象;对流星的声、光、形、色以及轻重进行了研究,并把陨星与铁相提并论,这是天文学史上的一次重大发现。比法国最早的记录还早600多年。
沈括是最早发现和命名石油的人,他对古地理、古生物都有很深的研究,领先于中外学者。沈括在世界历史上是一个罕见的多才多艺的人物。当代英国著名学者李约瑟称他是“中国科学史上最奇特的人物”,称赞《梦溪笔谈》为中国科学史上的里程碑。

☚ 托勒密   哥白尼 ☛

沈括

沈括1031—1095Shen Kuo

宋代科学家、文学家。字存中。钱塘(今浙江杭州)人。嘉祐八年(1063)进士。曾任太常丞、翰林学士等职。沈括所著《梦溪笔谈》是一部内容广博的笔记著作,涉及自然科学的许多领域,具有很高的科学价值。其中也涉及人文科学以及文学艺术等领域,如论音乐的内容便有很多独到见解。《梦溪笔谈》的文字质朴无华,然而许多篇章文笔明快,形象鲜明,具有较浓的文学色彩。

☚ 晏几道   苏轼 ☛
沈括

沈括约1031—1095Shenkuo

中国北宋科学家、政治家。祖籍浙江钱塘(今杭州),父亲沈周任地方官吏多年。沈括自幼好学, 青年时因父荫做过多年地方官,
嘉祐八年(1063)登进士第, 任扬州司理参军。1070年后参加王安石变法,失败后屡遭排挤。晚年隐居于润州(今镇江)梦溪园私宅,潜心著述,完成了不朽的科学巨著《梦溪笔谈》, 其中有关科学技术的近200条,涉及数学、天文历法、气象、地质、地理、物理、化学、建筑、水利、生物、农学、医药、工程技术等许多学科,其数学成就是创立“隙积术”、“会圆术”及对“棋局都数”的探讨。
“隙积术”是计算依次堆成长方台形的酒坛等规则离散物体总个数的方法,因堆积时中间有空隙,故称隙积, 其数学意义是二阶等差数列的求和。设一长方台垛,其顶层宽有a个物体,长有b个;底层宽有c个物体,长有d个,共n层,由于堆放时,任意相邻的两层,上面一层的长、宽各比下面一层长、宽减少一个物体,因而有关系式

c=at (n-1), d=b+ (n-1)


总个数s应按s=(a+i) (b+i)计算,求和结果应为
沈括正确地给出了这 一公式并提示了证明方法, 成为中国垛积术研究的开端。
“会圆术”是已知圆的直径d和弓形的高h,求弓
形的底b和弧长s的方法。又若记r=d/2是圆的半径,
沈括给出的底长与弧长公式分别为:
其中r=OA,h=CD,b=AB,s=ADB,由于弧长公式按《九章算术》弧田术推得, 误差较大, 但当圆心角较小时仍可得
较好的近似值。
“棋局都数”: 围棋盘上每个交叉点布子时有三种可能:空、白、黑。沈括运用组合学观点论证:方n路n2个交叉点共有3n2种情况, 全局方19路共有3361种情
况。计算中用到指数法则am·an=am+n,书中还涉及一些运筹学思想。沈括以其对古代科技全面而精彩的论述,被称为“中国科技史上的一个
坐标”。
☚ 贾宪   李冶 ☛
沈括

沈括1031~1095

北宋科学家、文学家。字存中。杭州钱塘(今浙江杭州市)人。仁宗嘉 八年中进士。神宗时,积极参与王安石变法,后来变法失败,受到保守派打击,被贬到均州做团练副使。元丰五年,因西夏攻陷永乐城,遭贬。晚年定居润州梦溪园。
沈括博学多识,对天文、地理、方志、律历、音乐、医药、卜算、考古等都颇有研究。他所著的 《梦溪笔谈》 一书,内容丰富,涉及了自然科学与社会科学的广阔领域,具有很高的科学价值,是我国科学史上的一份宝贵遗产。另外,《梦溪笔谈》的许多篇章写得明快精练,语言生动形象,有较浓的文学意味。
今存《长兴集》 41卷,其中有一些游记写得也很有特色。例如 《苍梧台记》: “东望有山蔚然,立于大海洪波之中,日月之光,蔽映上下。”就写得新颖、生动。

☚ 辛弃疾   张孝祥 ☛

沈括1033—1097或1031—1095

北宋科学家。字存中,杭州钱塘(今浙江杭州)人。仁宗嘉佑进士。神宗时参与王安石变法活动。曾历任提举司天监、翰林学士、权三司使、知廷州等。晚年于润州(今江苏镇江)梦溪园撰《梦溪笔谈》三十卷。又曾推荐卫朴编修《奉元历》,主张革除旧历法,以节气定月,创“十二气历”。比欧洲早400年发现地磁偏角的存在。数学上创立“隙积术”、“会圆术”。著医书《良方》、《灵苑方》。又最早提出“石油”的命名。有《长兴集》传世。参见“梦溪笔谈”,及“数学”、“物理”、“地理”中的“沈括”。


沈括

中国北宋自然地理学家。曾主持修订历法和修筑芜湖一带的万春圩,在中国水利史上占有重要位置。并根据诗人白居易的“人间四月芳菲尽,山寺桃花始盛开”,的诗句,进山实地观察,弄清了地形、气候对植物生长的影响,详细考察过雁荡山和太行山,认识了水的侵蚀作用,并从岩石中的生物遗迹,推知冲积平原的形成过程,奠定了流水地貌的理论基础。所著《梦溪笔谈》,是一部以地理考察、游记为主的自然和社会科学的综合性著作。国外称他为“中国科学史上的座标”。参见“历史”中的“沈括”。


沈括1031—1095

北宋科学家、政治家。字存中,杭州钱塘(今属杭州)人。他精研科学,成果丰硕。在地质学方面,由雁荡等山的地形,认识了水的侵蚀作用;从太行山岩石中的生物遗迹,推论出冲积平原形成的过程。以平生见闻,撰有《梦溪笔谈》等著作。


沈括1031—1095

中国北宋科学家、政治家。在数学方面创立隙积术(二阶等差积数求和法)和会圆术(已知圆的直径和弓形的高,求弓形的弦和弧长的方法)。著《梦溪笔谈》等。参见“历史”中的“沈括”。


沈括

在其著作《梦溪笔谈》中,提出了指南针的四种装置方法,并同时指出地磁偏角问题,阐述了小孔成像、凹面镜成像的规律,对共振现象等亦有较多的观察研究。参见“数学”中的“沈括”。

沈括

沈括1031—1095

北宋文学家、科学家。字存中,杭州钱塘(今浙江杭州)人。嘉祐八年(1063)进士。神宗时参加王安石变法,历任太子中允,提举司天监、太常丞等职。熙宁八年(1075)出使辽国,驳斥辽国的争地要求,还拜翰林学士。后知延州(今陕西延安),防御西夏,元丰五年(1082),因西夏攻陷永乐城,坐贬。晚年卜居润州(今江苏镇江)梦溪园。沈括博学能文,有名于当世。他对天文、地理、方志、律历、音乐、医药、卜算、考古等无所不通,著述甚丰,但多亡佚。所著《梦溪笔谈》对当时科学技术发展情况等广为记录,有极大科学价值和史料价值,是一部综合性科学学术著作。其散文风格平易流畅而又简练明快,善为四六文,无浮华之气。除《梦溪笔谈》外,还有《长兴集》传世。

☚ 王安石   苏轼 ☛

梦溪笔谈/新校正梦溪笔谈/梦溪笔谈选注/长兴集

☚ 张子文集钞   梦溪笔谈 ☛

沈括

沈括1031——1095

字存中。宋杭州钱塘(今浙江杭州)人。嘉佑进士,除扬州司理参军,熙宁中参与王安石变法。历检正中书刑房公事、提举司天监。迁集贤校理,擢知制诰兼知通进银台司。熙宁八年(1075),出使辽国。元丰五年(1082)坐罪责授均州团练副使、随州安置。徙秀州。晚年居润州梦溪园。他博学多闻,于天文、地理、典制、律历、音乐、医药等无所不通,著述近40种,多亡佚。现存有《梦溪笔谈》、《长兴集》、《苏沈良方》等。沈括的文章,如其《梦溪笔谈》所载,往往精确详实,文理缜密,明快简洁,中心突出,然又长于形容,摇曳多姿,堪称是富有文学情味的科学小品。

☚ 王安石   苏轼 ☛

沈括shěn kuò

《本草纲目》序例第1 卷引据古今医家书目(26)。人名。北宋科学家,字存中,钱塘(今浙江杭州)人,生活于1031-1085年。曾任翰林学士,对天文、地理、数学、物理等方面均有成就。在医学方面,著有《良方》,另著《梦溪笔谈》、《灵苑方》。

沈括

沈括

沈括 (1031—1095),中国科学家、政治家。字存中,北宋杭州钱塘人。仁宗嘉祐进士,历任县令、知州、司天监、军器监、翰林学士等官职。神宗时参加王安石变法运动。注重实践,精研科学,重视劳动人民在生产斗争中积累的经验。
在数学方面,沈括创立 “隙积术”(二阶等差级数的求和法) 和 “会圆术”(已知圆的直径和弓形的高,求弓形的弦和弧长的方法),并用数学方面算出每日微差时间的大小。在物理学方面,沈括发现存在地磁偏角,比欧洲早400多年,指出指南针并不指向正南,而是略微偏东。曾阐述凹面镜成像的原理。对共振等规律也有研究。沈括在任司天监期间,对天文学进行深入研究,不仅亲自参加实际的天文测量,而且亲自动手研制观测仪器,还画出200多张测定极星的位置图,计算出北极星并不在北极,而是偏离北极一度多。在地质学方面,沈括从雁荡山等的地形认识了水的浸蚀作用,从太行山岩石中的生物遗迹,推知冲积平原的形成过程。在地理学方面,沈括曾对定州西部山区的山脉、河流、道路和山势等进行仔细勘察,并用木屑、面糊和熔蜡制成地势模型,比欧洲出现类似的地理模型早700多年。
沈括坚持工作12年,编制了一套由20幅地图组成的 《守令图》 (即《天下州县图》),在比例尺、方位和精度方面,比前人有显著进步,其中最大的一幅高1丈2尺,宽1丈。沈括和卫朴 (天文数学家) 一道主持修订 《奉元历》,对传统历法的缺点进行科学分析,提出采用太阳历即 “十二气历” 的主张。按十二节气把年分成12个月,“十二月常一大一小相间,纵有两小相并,一岁不过一次。” 与现行阳历相比,并不逊色。
在医学方面,沈括对药用植物精心研究,并留心记录民间的有效药方,著有《良方》 10卷。沈括在任东海、宁国等县令期间,积极提倡兴修水利,重视发展农业生产。在他主持下,在沐阳 “疏筑百渠九堰”,使70万亩土地受益。在宁国曾修复规模较大的 “万春圩”,并著有《圩田五说》 一书。沈括晚年居润州 (今江苏镇江),筑梦溪园,专心从事著述,把一生见闻和研究心得写成一部巨著一 《梦溪笔谈》。该书现传本为26卷,加上 《补笔谈》 3卷,《续笔谈》 1卷,共30卷。其中涉及科学技术的有200多条,内容包括数学、物理、化学、天文、地质、地理、气象、工程技术、生物和医学等方面。这是中国古代科学史上的杰作,也是世界科技资料库中的一份宝贵遗产。

☚ 毕升   罗杰·培根 ☛
沈括

沈括1031—1095

北宋卓越的科学家。字存中,杭州钱塘人。嘉祐进士。宋神宗时参与王安石变法。熙宁五年(1072)提举司天监。九年(1076)任翰林学士,权三司使。因主张减少户役钱,受弹劾被贬。元丰三年 (1080) 知延州 (今延安),加强对西夏的防御。五年(1082) 因永乐城(今陕西米脂西)被西夏军攻陷而受牵连。晚年退居润州 (今江苏镇江东)梦溪园。博学多才,精研科学,著书浩富,所撰近40种,大多遗失,传世甚少。其名著《梦溪笔谈》30卷,涉猎天文、数学、物理、化学、生物、地理、气象、医药等众多学科领域,总结了中国当时自然科学的主要成就。尤精于天文历法,创“十二气历”,还对隙积术、会圆术、地磁偏角、水蚀等原理有创见。是首先提出 “石油”命名的人。传世还有《灵苑方》。《良方》等药物学、医学方面的著作。

☚ 毕异   秦桧 ☛

沈括

沈括

沈括 (1031—1095),中国科学家、政治家,字存中,北宋杭州钱塘人。仁宗嘉祐进士,历任县令、知州、司天监、军器监、翰林学士等官职。神宗时参加王安石变法运动。注重实践,精研科学,重视劳动人民在生产斗争中积累的经验。
在数学方面,沈括创立 “隙积术”(二阶等差级数的求和法)和 “会圆术”(已知圆的直径和弓形的高,求弓形的弦和弧长的方法),并用数学方法算出每日微差时间的大小。在物理学方面,沈括发现存在地磁偏角,比欧洲早400多年,指出指南针并不指向正南,而是略微偏东。曾阐述凹面镜成像的原理。对共振等规律也有研究。沈括在任司天监期间,对天文学进行深入研究,不仅亲自参加实际的天文测量,而且亲自动手研制观测仪器,还画出200多张测定极星的位置图,计算出北极星并不在北极,而是偏离北极一度多。在地质学方面,沈括从雁荡山等的地形认识了水的浸蚀作用,从太行山岩石中的生物遗迹,推知冲积平原的形成过程。年地理学方面,沈括曾对定州西部山区的中脉,河流、道路和山势等进行仔细察年,并用木屑、面糊和熔蜡制成地势模型,比欧洲出现类似的地势模型早700多年。
沈括坚持工作12年,编制了一套由6幅地图组成的 《守令图》 (即 《天下州县图》),在比例尺、方位和精度方面,比前人有显著进步,其中最大的一幅高1丈2尺,宽1丈。沈括和卫朴 (天文数学家)一道主持修订 《奉元历》,对传统历法的缺点进行科学分析,提出采用太阳历即 “十二气历”的主张。按十二节气把年分成12个月,“十二月常一大一小相间,纵有两小相并,一岁不过一次。”与现行日历相比,并不逊色。
在医学方面,沈括对药用植物精心研究,并留心记录民间的有效药方,著有《良方》10卷。沈括在任东海、宁国等县令期间,积极提倡兴修水利,重视发展农业生产。在他主持下,在沭阳 “疏筑百渠九堰”,使70万亩土地受益。在宁国曾修复规模较大的 “万春圩”,并著有 《圩田五说》一书。沈括晚年居润州 (今江苏镇江),筑梦溪园,专心从事著述,把一生见闻和研究心得写成一部巨著——《梦溪笔谈》。该书现传本为26卷,加上《补笔谈》 3卷,《续笔谈》 1卷,共30卷。其中涉及科学技术的有200多条,内容包括数学、物理、化学、天文、地质、地理、气象、工程技术、生物和医学等方面。这是中国古代科学史上的杰作,也是世界科技资料库中的一份宝贵遗产。

☚ 毕昇   罗杰·培根 ☛

沈括(1031—1095)shěnkuò

宋代科学家。字存中。钱塘(今浙江杭州) 人。仁宗嘉祐末进士, 官至翰林学士。通天文、历法、物理、数学、地质等, 著有《梦溪笔谈》。在医药方面有独到见解, 主张不拘泥于古书,注重实际观察。曾采录有效方剂, 撰有《良方》, 原书虽佚, 但后人在传本中增入苏轼医药杂论, 改称《苏沈良方》。新中国成立后有排印本。

沈括

沈括公元1031年~1095年

字存中,北宋钱塘(今浙江杭州)人。仁宗嘉祐进士。历任馆阁校勘,提举司天监、太常丞等。神宗熙宁九年(公元1076年)任翰林学士,权三司使,后被劾贬。晚年著有《梦溪笔谈》三十卷,对天文、数学、矿业以及医药学、生物学、物理学等方面均有卓越贡献。他在神宗熙宁年间曾参预王安石变法,对实行新法以后的钱荒现象认为主要是人口和用途增加,水火之灾和磨损造成钱币减少以及销钱为器、被民间贮藏、货币种类单一、被官库贮藏、铜钱外流等原因。他提出的解决办法是增加货币数量和加快货币流通速度。这一关于加快货币流通速度的理论,当时是处于世界领先地位的。

☚ 司马光   周行己 ☛
沈括

沈括1031—1095

北宋科学家。字存中,杭州钱塘(今浙江杭州)人。学识渊博,对天文、数学、历法、地理、物理、生物、医学,乃至音乐、文学、史学等学科均有研究。嘉祐进士。曾参与王安石变法。历任提举司天监、权三司使等职。主持过兴修水利、改造观象仪器、中央财政等事务。所修《奉元历》以365.24358日为一年,较当时通行历法精密,惜未获实行。晚年居润州(治今江苏镇江)梦溪园,举平生见闻,撰成《梦溪笔谈》。此外还有《长兴集》、《苏沈良方》等传世。其经济思想的突出贡献是在货币理论方面,明确论及货币流通速度与货币流通量之间、货币流通量与人口增殖之间的对应关系,以及稳定有价证券的价格对货币流通量的影响等,指出国家调节货币流通量的必要,以使市面上钱币流通的数额与社会需要量相适应。较之威廉·配第十七世纪《赋税论》中一首次提出货币流通速度早六百年。

☚ 赵霖   范仲淹 ☛
沈括

沈括

沈括(1031~1095年),宋代伟大的科学家。字存中,钱塘(今浙江杭州)人,后退居于润州,筑梦溪园(在今江苏镇江东郊)。仁宗嘉祐年间进士,参与王安石变法。担任过多种官职,在政治、经济、外交、军事、水利等许多方面卓有贡献。所著《梦溪笔谈》中,录其平生见闻和精研科学所得,涉及天文、数学、物理、地学、医药学等许多学科。其中第26卷“药议”及《续笔谈》、《补笔谈》中记有许多医药学成就(共计有69条)对药物形态、生态环境对植物的影响、药物用途、在人体内的吸收过程等都有精辟的论述。在沈氏的《良方》中,记录了许多有效的方药,并详论辨疾、治疾、服药、处方及辨药“五难”等。其中秋石方记录了我国早在十一世纪便能从人尿中提取性激素制剂的现存最早且最完全的记述(参见“《苏沈良方》”条)。沈氏另一方书《灵苑方》,也记录了许多效方精论。原书已佚,现代有人辑得佚文80余条。另沈括的《忘怀录》中,还有两则关于卫生的记述。据载沈氏还撰有《别次伤寒》(《南阳活人书·张蒇序),今佚。沈括作为我国科技史上的卓越人物,受到中外人士的高度赞扬。

☚ 掌禹锡   庞安时 ☛
沈括

沈括1031—1095

字存中,北宋杭州钱塘(今浙江杭州) 人,仁宗嘉祐八年 (1063年) 进士,神宗时参加王安石变法运动。熙宁五年 (1072年)提举司天监,六年赴两浙考察水利、差役。八年出使辽国,驳斥辽国的争地要求。九年为翰林学士,权三司使,整顿陕西盐政,主张减少下户役钱,并运用刘晏设商业情报网搜集商情动态的思想,于东南各省改革三司和籴谷米旧法。再知延州 (今陕西延安),加强对西夏的防御。元丰五年 (1082年) 因徐禧失陷永乐城 (今陕西米脂西) 连累受贬。晚年居润洲,筑梦溪园 (在今江苏镇江东郭),撰《梦溪笔谈》,内容涉及礼仪典章、经济刑法制度、历史、地理、语言文字、美术、音乐以及天文、数学、物理、化学、生物、地质、气象、医学、工程技术等学科。另著有《长兴集》。使辽所撰《乙卯入国奏语》、《入国别录》残见于 《续资治通鉴长编》。熙宁十年,列举“公私钱币皆虚”的八条原因,谓“其不可救者二事而已,其可救者五,无足为患者一。”(《续资治通鉴长编》卷二三八) 将人口增加和公私收支日益繁多产生的货币流通量不足及货币“水火沦败刓缺”等自然损耗看作不足为怪的自然现象,对稳定盐钞等有价证券与货币流通数量的关系予以较正确的表述。指出货币“迁而不已”即加速钱币的流通周转,则“钱不可胜计”,足可解决钱荒问题。又建议“使应输钱者输金”,鼓励以黄金作为支付手段,以减轻当时流通中货币不足的压力。对扩大消费以刺激生产,增加就业的主张也表示赞同。其关于货币流通速度和货币数量关系的认识,于当时世界范围内处于领先地位。(参见“流借”、“钱荒论”、“《梦溪笔谈》”)

☚ 周行已   辛弃疾 ☛

沈括1031~1095Shen Kuo

scientist and man of letters of the Song Dynasty. Works: Brush Talks from Dream Brook,Record of the Terrace of Parasol Tree,A Collection of Long Prosperity,etc.

沈括1031—1095

北宋政治家、杰出科学家。字存中。杭州钱塘 (今浙江杭州) 人。嘉祐进士。早年任宁国 (今属安徽) 县令,即建议兴修圩田,发展水利。神宗时,累官太子中允,参与王安石变法,曾提举司天监,任翰林学士、权三司使等。后知延州 (今陕西延安),加强对西夏防御。元丰五年 (公元1082年),以徐禧失陷永乐城 (今陕西米脂西),坐事谪均州,以光禄少卿分司居润州,撰《梦溪笔谈》,以所居梦溪园得名。他精研科学,提出彻底改革历法的建议,对浑仪浮漏、景表曾提出新的方案;还研究琴弦的共振现象、凹面镜的焦点、指南针磁偏角等。编有《奉元历》。他还创立“隙积术”(二阶等差级数的术和法)、“会圆术”(已知圆的直径和弓形的高,求弓形的弦和弧长的方法);由雁荡等山的地形,认识水的侵蚀作用;从太行山岩石中的生物遗迹推知冲积平原形成过程。他还记录水工高超、木工喻浩、发明活字印刷术的毕升等成就。首先提出对石油的命名。又精究药用植物与医学知识,著《良方》十卷 (传本附入苏轼所作医药杂说,改称《苏沈良方》)。另有《长兴集》。所撰 《乙卯入国奏请》、《入国别录》,在《续资治通鉴长编》中还保存了一部分。

沈括1031—1095

字存中,宋杭州钱塘(浙江杭州市)人。仁宗嘉祐进士,历官太子中允、提举司天监、太常丞、河北西路察访使、翰林学士、权三司使、龙图阁学士等。曾参加王安石变法。元丰五年(1082)以给事中徐禧失永乐城(陕西米脂西),坐谪均州团练副使。晚年居润州,筑梦溪园(在今江苏镇江东),完成科学名著《梦溪笔谈》。括博学善文,通天文、律历、方志、音乐、医药、 卜算。著作除《梦溪笔谈》,尚有《灵苑方》 (已佚)和《良方》,以及《长兴集》等。 (参考图410)

随便看

 

离鸟网收录3541549条中英文词条,其功能与新华字典、现代汉语词典、牛津高阶英汉词典等各类中英文词典类似,基本涵盖了全部常用中英文字词句的读音、释义及用法,是语言学习和写作的有利工具。

 

Copyright © 2004-2024 vtrois.com All Rights Reserved
更新时间:2026/4/18 14:04:27