网站首页  词典首页


请输入您要查询的字词:

 

字词 汉森双缺口模型
类别 中英文字词句释义及详细解析
释义

汉森双缺口模型

B·汉森(8)式表示按照工资滞后假说描述的工资和物价之间的关系。上述模型的核心假设是边际消费倾向存在差异: 工资收入者的边际消费倾向大于企业主的边际消费倾向,即Cw-Cu>0。
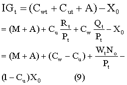
假定战争开始前资金平衡是成功的,通货膨胀缺口IG等于零,物价水准保持不变 (Pt=Pt-1=P0)。方程式 (8) 中的参数必定相当于战前均衡水平下的实际工资。通货膨胀缺口可以定义为:商品市场上在一定的充分就业产出水平下的超额需求。即:


按战前的自发水准A,工资W0和物价P0,IGt等于零。战争支出使A增加△A。在给定的W0和P0下,将产生一个正的通货膨胀缺口(商品缺口)。因为工资对考察期来说是固定的(W1=P0),所以只要物价上涨就可以弥合商品市场上的缺口。物价必须完成从P0到P1的上升,在W1=P0和IGt=0的条件下,可以通过方程(9)算出:


计算结果表明,通货膨胀率(确切地说是时期1的物价水准对基期的物价水准的比率) 实际上取决于△A和Cw-Cu的差。Cw-Cu的差值越大,实际自发支出的增量△A就越大。相反,通货膨胀率与充分就业的实际产量供给X0负相关。
方程(10)表达了从时间t0过渡到t1期间的通货膨胀率。在后面诸期物价的变动情况必须借助工资滞后假说来进行分析。虽然物价水准从P0上升到P1弥合了商品市场的缺口,但在时期2,它会把名义工资向上拉动到W2 =P1从而恢复原来的实际工资水准。方程(9)表明,名义工资的这种向上再调整会再次导致商品市场的缺口,这个缺口只能由另一轮的物价上涨来消除,物价上涨幅度由方程(10)决定。只要外生给定的自发支出率超过了原来的均衡水准,通货膨胀过程就不会中断。这个模型的要点是: 在第一轮价格水平从P0上升到P1时,实际工资下降,而随后的通货膨胀一定是为了防止实际工资回到它的初始水平。只有工资的调整滞后于一般物价水准的变动,通货膨胀才能成功地阻止实际工资恢复原来的水准。在很长的一段时间里,上述阐述一直是凯恩斯《如何筹措战费》的标准解释。
将模型扩大到包括劳动力市场的工资—反应函数。


这个函数表示货币工资率的变化同劳动市场的超额需求水准正相关。间距AD表示商品市场在(P/W)0水准上的商品缺口。商品的计划需求超过可得的最大供给的量是AD。这个商品缺口也会导致商品价格上升。


f (0) =0,f′>0 (5)


以上讨论的是两缺口同时存在的通货膨胀,在单要素缺口时也同样会引起通货膨胀。
取图16-43中F点来分析。在F点,D-=0,但(X-R200703083.0543.40.2]]) >0。商品市场已实现均衡,但劳动力市场尚存在超额需求。这将导致商品价格不变的情况下货币工资和实际工资上升。P/W将会降低 (如图16-43中箭头所示)。在较低的P/W(较高的实际工资)上,商品市场上的超额需求就会出现,价格水平因此就会再次上升。如在点G处,D-) >0和X->0,隐含着W>0和P>0。
如果取E点来分析。在该点,劳动力市场均衡(X-X) =0),商品市场存在超额需求(D-X>0)。由方程(4) (5)可知,P/W将会上升而实际工资则开始下降。可以假定,这个过程达到A点。在点A处,实际工资已下降到劳动力市场的超额需求和商品市场的超额需求一起出现,从而使商品价格和货币工资一起开始上升。
对E、F点的分析可引出这样一个结论:在区间EF内,一定存在—个“准均衡点”,在这点上,价格和工资按相同的速度上升,因此实际工资保持不变。在这个准均衡点上,下述关系式成立:

(6)


因此,如果下式:

(7)


成立,则实际工资不变。商品市场和要素市场能同时存在具有超额需求的通货膨胀均衡。这也是汉森模型的特征。
汉森双缺口模型

汉森双缺口模型double gaps model of Hansen B·

汉森关于总需求膨胀情况下经济均衡的一种理论模型。凯恩斯通货膨胀缺口模型的进一步发展。凯恩斯的模型仅仅考虑了商品缺口,而汉森则既考虑到商品市场又考虑到劳动力市场。他区分了商品缺口和要素缺口。在他看来,通货膨胀双缺口是指商品缺口和要素缺口。商品缺口是指计划的商品需求大于实际商品供给的差额;要素缺口是指计划产出量大于在充分就业条件下实际产出量的差额。二者在一定程度上互为条件,互相影响,共同组成衡量通货膨胀的指标。
汉森的模型依赖于两个重要的假设:
❶劳动力数量是外生给定的且固定不变,通过利用全部可用的劳动力的供给可获得的充分就业产量X是不可能超过的。
❷价格和货币工资是完全可以伸缩的。汉森模型在此基础上建立,包括三个行为方程式(1)—(3)和两个价格反应函数(4)—(5)。

X= (1)


式中,X表示全部生产能力的常量。


表示计划供给产量。


表示计划需求产量。
当价格对工资的比率(P/W)上升时,工人实际工资下降,企业主会增加计划供给产量,商品的个人需求却减少。原因是,在一个充分就业的实际收入常量中,P/W的上升会导致利润份额增加和工资份额减少。汉森也假定CwCu>0。因此,计划需求随P/W上升而下降。汉森模型如图1643所示。横轴是实际产量X,纵轴是价格对工资的比率。在(P/W)。处存在着一个用间距AB度量的要素缺口。它表示计划的生产量超过了充分就业产量。汉森认为,这个要素缺口是劳动力市场上的超额需求指数。在货币工资可伸缩的假定下,这个超额需求会导致货币工资上升。因此,汉森将模型扩大到包括劳动力市场的工资一反应函数。

图16-43


这个函数表示货币工资率的变化同劳动市场的超额需求水准正相关。间距AD表示商品市场在(P/W)0水准上的商品缺口。商品的计划需求超过可得的最大供给的量是AD。这个商品缺口也会导致商品价格上升。


以上讨论的是两缺口同时存在的通货膨胀,在单要素缺口时也同样会引起通货膨胀。
取图16-43中F点来分析。在F点,D-X=0,但(X-)>0。 商品市场已实现均衡,但劳动力市场尚存在超额需求。这将导致商品价格不变的情况下货币工资和实际工资上升。P/W将会降低(如图16-43中箭头所示)。在较低的P/W(较高的实际工资)上,商品市场上的超额需求就会出现,价格水平因此就会再次上升。如在点G处,D-X)>0和X-X)>0,隐含着W>0和P>0。
如果取E点来分析。在该点,劳动力市场均衡(X-)=0),商品市场存在超额需求(D->0)。由方程(4)(5)可知,P/W将会上升而实际工资则开始下降。可以假定,这个过程达到A点。在点A处,实际工资已下降到劳动力市场的超额需求和商品市场的超额需求一起出现,从而使商品价格和货币工资一起开始上升。
对E、F点的分析可引出这样一个结论:在区间EF内,一定存在一个“准均衡点”,在这点上,价格和工资按相同的速度上升,因此实际工资保持不变。在这个准均衡点上,下述关系式成立:


因此,如果下式:


成立,则实际工资不变。商品市场和要素市场能同时存在具有超额需求的通货膨胀均衡。这也是汉森模型的特征。
☚ 通货膨胀缺口模型   新制度学派通货膨胀理论 ☛
00014609
随便看

 

离鸟网收录3541549条中英文词条,其功能与新华字典、现代汉语词典、牛津高阶英汉词典等各类中英文词典类似,基本涵盖了全部常用中英文字词句的读音、释义及用法,是语言学习和写作的有利工具。

 

Copyright © 2004-2024 vtrois.com All Rights Reserved
更新时间:2026/4/18 14:03:52