网站首页  词典首页


请输入您要查询的字词:

 

字词 水胺硫磷
类别 中英文字词句释义及详细解析
释义

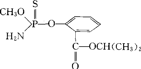
水胺硫磷isocarbophos

速效广谱硫逐式一硫代磷酰胺类杀虫杀螨剂,又称作羧胺磷。化学结构式:

1967年联邦德国拜耳公司(Bayer AG)首先开发。
性能 纯品为无色片状结晶,熔点45~46℃,在中性及微酸性介质中较稳定,在碱性介质中易分解,常温下贮存较稳定。不溶于水,可溶于大多数有机溶剂,难溶于石油醚。对高等动物急性口服毒性较高,经皮毒性中等。大白鼠急性口服LD5036毫克/千克(雌),25毫克/千克(雄); 急性经皮LD50218毫克/千克(雌),197毫克/千克(雄)。对蜜蜂毒性高。对害虫、害螨具有触杀、胃毒及内渗作用,还具有很强的杀卵作用。在昆虫体内能被氧化为毒力更强的非硫代的水胺氧磷。速效性好,也有相当持效。叶面喷雾持效可达7~ 14天。但在土壤中持效性差,易于分解。
应用 主要以乳油对水叶面喷雾,用于粮食作物、棉花、果树、林木、牧草等作物,防治叶螨,鳞翅目、同翅目害虫,以及稻瘿蚊、稻象甲、牧草蝗虫等。药液拌种,可防治蛴螬。收获前禁用期一般为1个月。水胺硫磷不可用于蔬菜、已结果实的果树、近期将采收的茶树、烟草、中草药等作物。叶面喷雾对一般作物安全,但高粱、玉米、豆类较敏感。

水胺硫磷isocarbophos

又称羧胺磷。高毒杀虫杀螨剂。化学名称:O-甲基-O-(邻-异丙基氧基羰基苯基)硫逐酰胺酯。化学结构式如下。纯品为无色片状结晶,熔点45~46℃,不溶于水,易溶于有机溶剂。大鼠急性口服LD50值(♂)为25 mg/kg,(♀)为36 mg/kg。具有胃毒和触杀作用,并有较强的杀卵效果,可以用来防治为害水稻、棉花及果树的各种害虫与害螨。

随便看

 

离鸟网收录3541549条中英文词条,其功能与新华字典、现代汉语词典、牛津高阶英汉词典等各类中英文词典类似,基本涵盖了全部常用中英文字词句的读音、释义及用法,是语言学习和写作的有利工具。

 

Copyright © 2004-2024 vtrois.com All Rights Reserved
更新时间:2026/4/21 6:56:53