网站首页  词典首页


请输入您要查询的字词:

 

字词 氨基糖甙类抗生素
类别 中英文字词句释义及详细解析
释义

氨基糖甙类抗生素aminoglycoside antibiotic

系其化学结构中均含有氨基糖甙一组抗生素的总称。此组抗生素种类较多,包括链霉素、卡那霉素、庆大霉素、妥布霉素、丁胺卡那霉素、乙基西梭霉素、核糖霉素、小诺霉素、新霉素等。其抗菌谱及临床应用有所不同。但此类抗生素毒性较大,均可引起听神经损害、肾损害、神经肌肉损害及某些过敏反应等。故不宜作为门诊一线用药,孕妇、新生儿、婴幼儿禁用;用药过程应严密观察,一般用药不超过10~14日;尽量不联合用药,不可与半合成青霉素同瓶输入;严格控制用药量。

氨基糖甙类抗生素

氨基糖甙类抗生素

氨基糖甙类抗生素是由链霉菌、小单孢菌和细菌所产生的具有氨基糖甙结构的抗生素。这类抗生素是以配基——氨基环醇与氨基糖(或含有核糖或其他糖)以甙键相连的一类化合物。迄今已发现的氨基糖甙类抗生素超过一百种以上。其分类、产生菌、发现年代见表。
氨基糖甙类抗生素的抗菌谱大致相同。抗菌谱广,作用强,是治疗革兰阳性菌、革兰阴性菌及结核杆菌感染的重要药物。对革兰阴性杆菌的作用远较对革兰阳性细菌(葡萄球菌、炭疽杆菌等除外)为强,对多数革兰阴性菌有很强的杀菌作用,其中庆大霉素、妥布霉素、青紫霉素和卡那霉素的衍生物双去氧卡那霉素B(DKB)、丁胺卡那霉素(BBK8)对绿脓杆菌有效。本类的其他抗生素对绿脓杆菌均不敏感。氨基糖甙类抗生素对结核杆菌均有一定抑制作用,但以链霉素的作用为最强。
绝大多数氨基糖甙类抗生素主要作用于细菌核糖体30S亚基,从而抑制蛋白质的合成。本类抗生素可影响细菌蛋白质合成的全过程,妨碍初始复合物的合成,合成错误的蛋白质和抑制已合成蛋白质的释放,因而导致细菌死亡。
细菌对本类抗生素易产生耐药性,已知有许多带有质体遗传因子——R因子的耐药菌能产生三类钝化酶。它们分别为氨基糖甙乙酰转移酶(AAC)、氨基糖甙磷酸转移酶(APH)及氨基糖甙核苷转移酶(ANT、AAD)。已分离到属于从上三种类型的钝化酶约二十种。这些酶能钝化几种结构相类似的抗生素,有的抗生素能被几种钝化酶所钝化失活。这类钝化酶的作用点与抗生素的分子结构密切相关。本类抗生素具有某些相同的取代基则易产生交叉耐药性。细菌对本类抗生素相互间有部分或完全交叉耐药性。本类中主要的品种有链霉素、卡那霉素、庆大霉素、新霉素、巴龙霉素等,还有卡那霉素的衍生物卡那霉素B(卡内多霉素)、双去氧卡那霉素B和丁胺卡那霉素、妥布霉素、核糖霉素、青紫霉素等。其他如潮霉素、越霉素、有效霉素和春雷霉素(春日霉素)等抗生素主要是农用抗生素,仅春雷霉素局部应用于绿脓杆菌感染有一定疗效。

主要氨基糖甙类抗生素分类表

类 别抗 生 素产 生 菌发现年代
链霉素类链霉素
双氢链霉素
Streptomyces griseus
Streptomyces humidus
1944
1957
新霉素类新霉素B,C
巴龙霉素Ⅰ,Ⅱ
青紫霉素A,B
甘露糖基巴龙霉素
核糖霉素
丁酰苷菌素A,B
Streptomyces fradiae
Streptomyces rimosus forma paromomycinus
Streptomyces lividus
Streptomyces lividus
Streptomyces ribosidificus
Bacillus circulans
1949
1959
1971
1971
1970
1971
新霉胺类新霉胺
巴龙霉胺
Streptomyces fradiae
Streptomyces kanamyceticus
1949
1970
卡那霉素类卡那霉素A,B,C
妥布霉素(暗霉素因子6)
阿泊拉霉素(暗霉素因子2)
氧阿泊那霉素(暗霉素因子7)
暗霉素因子4
暗霉素因子5'
庆大霉素A
庆大霉素A1~A6
庆大霉素B,B1
庆大霉素X
庆大霉素C1,C12,C2
庆大霉素 C2a
庆大霉素C2b(相模湾霉素)
紫苏霉素(西梭霉素)
威达霉素
Streptomyces kanamyceticus
Streptomyces tenebrarius
Streptomyces tenebrarius
Streptomyces tenebrarius
Streptomyces tenebrarius
Streptomyces tenebrarius
Micromonospora purpurea
Micromonospora purpurea
Micromonospora purpurea
Micromonospora purpurea
Micromonospora purpurea
Micromonospora purpurea
Micromonospora sagamiensis
Micromonospora inyoensis
Micromonospora grisea
1957
1971
1973
1974
1973
1973
1967
1975
1972
1972
1963
1975
1975
1970
1975
放线壮观菌素类
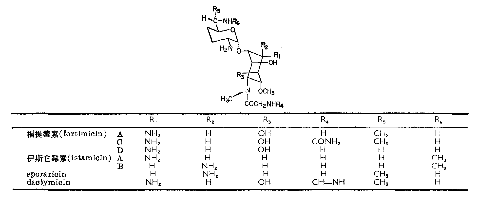
福提霉素类
放线壮观菌素
福提霉素A,B
福提霉素C,D,KE
Streptomyces spectabilis
Micromonospora olivoasterospora
Micromonospora olivoasterospora
1961
1977
1979
越霉素类越霉素A,B
越霉素C
潮霉素B
Streptomyces rimosus
Streptomyces rimosus
Streptomyces hygroscopicus
1965
1975
1958
其它春雷霉素Streptomyces kasugaensis1965

氨基糖甙类抗生素稳定性好,易溶于水,脂溶性差,口服几乎不吸收。临床治疗时用其硫酸盐。肌注后大部分以原药经肾排泄。本类抗生素的毒性普遍较大,主要是损害第八对颅神经及肾脏,使用时必须特别慎重。
本条目仅介绍本类抗生素中临床应用较少者,其余均另立条目。
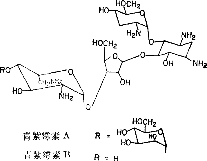
青紫霉素(lividomycin) 是Str. lividus产生的抗生素,含有四种组份。临床采用者为青紫霉素A硫酸盐。青紫霉素硫酸盐溶于水,在中性及碱性溶液中稳定,其水溶液(1mg/ml)在37℃或5℃放置4周,活力不减。


青紫霉素为广谱抗生素,具杀菌作用,其抗菌谱和抗菌作用与卡那霉素相似,但对绿脓杆菌的作用则较卡那霉素稍强;对多数绿脓杆菌菌株的最低抑菌浓度为12.5~50μg/ml。青紫霉素对结核杆菌亦有较强的作用,对大肠杆菌、奇异变形杆菌、绿脓杆菌的抗菌作用不如庆大霉素。细菌对青紫霉素耐药性的发展比卡那霉素慢; 与卡那霉素有交叉耐药性。
肌内注射青紫霉素后,血浓度高峰于1/2~1小时到达,为18.8~34μg/ml;以后迅速下降,有效浓度在血中可维持6小时。青紫霉素在血中半寿期约为1.8小时。从尿中排泄,8小时内排出70~90%。
胎儿脐带血中的药物浓度为母血浓度的1/4~1/8,本品也可进入胎儿羊水中。青紫霉素在胆汁中的浓度不高,在脑脊液中则可达一定浓度,约为肌内注射同量卡那霉素的2~3倍。
青紫霉素毒性较大,对肾及第八对颅神经均可产生损害,长期应用者尤甚,其毒性比卡那霉素为大。疗程6个月以上者约2.5%发生听力减退。少数患者可发生局部疼痛和红斑,轻度食欲减退、嗳气等。
临床主要用于治疗泌尿系统感染、呼吸系统感染、淋病及痢疾等。对急性尿路感染的疗效较好; 对慢性尿路感染的疗效较差。口服治疗婴儿菌痢有肯定疗效,治疗各种眼、耳、鼻、喉感染也有良好效果,中耳炎患者可合用局部滴注。
肌内注射成人每日1g,疗程以不超过1~2周为宜,儿童患者和原有肾功能减退者慎用。
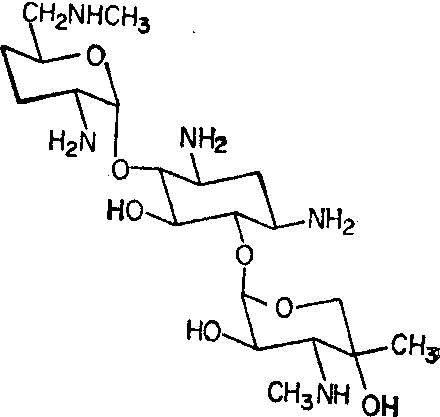
相模湾霉素(sagamicin) 又名沙加霉素,是小单孢菌Micromonospora sagamiensis var,nonoreducans MK 62产生的抗生素,与庆大霉素C2b的结构相同。结构式如下:
相模湾霉素硫酸盐为白色粉末,稳定,无臭无味,溶于水,不溶于甲醇,水溶液pH约为6.5。其抗菌谱和体内药理动力学与庆大霉素相似,对金黄色葡萄球菌、大肠杆菌、变形杆菌、绿脓杆菌,沙雷菌等有较强的抗菌作用,对链球菌、肺炎球菌抗菌作用较弱。注射后可分布至心、脾、肝、眼、胆汁和脑脊液中,6小时自尿排泄60~70%,毒性比庆大霉素稍低。临床治疗泌尿系统、呼吸系统、眼耳鼻喉感染和小儿感染,效果较好。不良反应主要是对第八对颅神经损害,发生耳鸣,听觉不良,眩晕,发热等,对肝肾功能略有影响,但比庆大霉素为小。


福提霉素(astromicin,fortimicin A,KW-1070) 是小单孢菌Micromonospora olivoasterospora CS-26所产生的氨基糖甙抗生素,结构式如下:


福提霉素是广谱抗生素,对革兰阴性菌有高效,大肠杆菌、肺炎杆菌、变形杆菌和沙雷菌敏感,绿脓杆菌则较差。与庆大霉素、丁胺卡那霉素无交叉耐药性,对耐药性细菌产生的多种氨基糖甙转移酶不敏感。福提霉素在临床主要用于泌尿系统感染,对呼吸道感染,如肺炎、支气管炎以及胆道感染、腹膜炎、脓疡、脓胸等也有效。一般无严重不良反应,个别有药疹、胃肠道反应和肝功能变化。
肌内注射每次200mg,一天两次。
春雷霉素(kasugamycin) 又名春日霉素,是Str.ka-sugaensis产生的抗生素,系弱碱性物质。它是由D-肌醇、春日霉胺与亚胺基醋酸侧链组成的。


春雷霉素盐酸盐为白色粉末,易溶于水,不溶于有机溶媒。性稳定,于50℃存放10周效价不降低,pH5.0的水溶液亦同样稳定。在碱性溶液中稳定性较差。
春雷霉素主要具有抗绿脓杆菌及稻瘟病的作用,对大肠杆菌及其他革兰阴性杆菌也有抗菌作用,其抑菌浓度为200~400μg/ml; 与庆大霉素和粘菌素相比,其体外抗菌活性较差。春雷霉素与一般抗生素不同者是血清蛋白不仅不减弱其抗菌作用,而且使其活力增高,因此注射给药更有利于治疗。
春雷霉素肌内注射30~40分钟后浓度达高峰,12小时内从尿排泄70%。
临床应用后主要副作用为胃肠道功能紊乱、肾及听力障碍、注射区疼痛及皮疹等。
临床上主要用于治疗绿脓杆菌和其他革兰阴性杆菌感染。由于用药后血浓度低,疗效并不满意。目前本品主要供局部应用,可用1.5~2.5%溶液或5~10%软膏外用,滴眼或滴耳等。
肌内注射用量每日1~2g,分2~3次注射,现已少用。
☚ 头霉氧唑   链霉素 ☛
00005613
随便看

 

离鸟网收录3541549条中英文词条,其功能与新华字典、现代汉语词典、牛津高阶英汉词典等各类中英文词典类似,基本涵盖了全部常用中英文字词句的读音、释义及用法,是语言学习和写作的有利工具。

 

Copyright © 2004-2024 vtrois.com All Rights Reserved
更新时间:2026/4/20 0:35:37