网站首页  词典首页


请输入您要查询的字词:

 

字词 氟胺氰菊酯
类别 中英文字词句释义及详细解析
释义

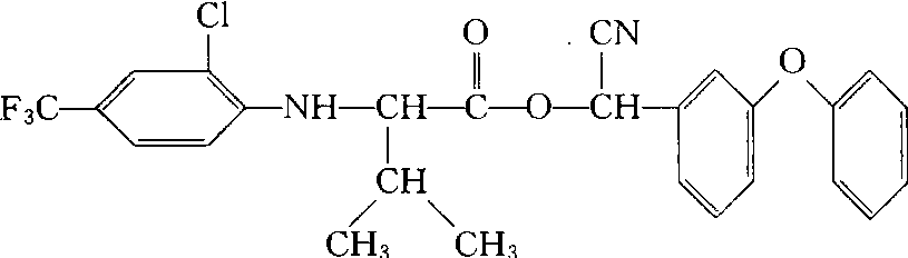
氟胺氰菊酯fluvalinate

又称马扑立克、Mavrik。化学名称:N-(2-氯-4-三氟甲基苯基)-DL-α-氨基异戊酸-α-氰基(3-苯氧苯基)甲基酯。化学结构式如下。原药为黏性黄色油状液体,密度1.29(25℃),沸点450℃ ,蒸气压<133.322×10-7 Pa。不容于水易溶于醇类及芳香烃类溶剂,对光和热稳定。杀虫广谱与其除虫菊酯相同,对各种作物的鳞翅目幼虫效果较好,并可兼治叶螨。中等毒性大鼠口服LD50为286 mg/kg,大鼠吸入(4h)LC50>5.1 mg/kg。兔经皮LD50>20 000 mg/kg。大鼠亚急性经口无作用剂量为3 mg/(kg·d)。大鼠慢性经口无作用剂量为1 mg/(kg·d)。

随便看

 

离鸟网收录3541549条中英文词条,其功能与新华字典、现代汉语词典、牛津高阶英汉词典等各类中英文词典类似,基本涵盖了全部常用中英文字词句的读音、释义及用法,是语言学习和写作的有利工具。

 

Copyright © 2004-2024 vtrois.com All Rights Reserved
更新时间:2026/4/18 22:04:23