网站首页  词典首页


请输入您要查询的字词:

 

字词 二项分布
类别 中英文字词句释义及详细解析
释义 二项分布

若进行n次独立试验,每次试验只有两种可能结果。

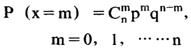
即:事件A发生(如生男孩),或事件A不发生(如生女孩)。并且p=p(A),,P+q=1,0<p<1。用x表示这n次试验中事件A发生的次数,则

这个分布即二项分布。这种类型的试验称为n重贝努利试验,并记作x~B(n,p)。

由于是(p+q)n按二项式展开其中含因子pm的那一项,故分布得名为二项分布。该分布的均值E(x)=np,方差Var(x)=npq。

随便看

 

离鸟网收录3541549条中英文词条,其功能与新华字典、现代汉语词典、牛津高阶英汉词典等各类中英文词典类似,基本涵盖了全部常用中英文字词句的读音、释义及用法,是语言学习和写作的有利工具。

 

Copyright © 2004-2024 vtrois.com All Rights Reserved
更新时间:2026/4/19 22:13:04