网站首页  词典首页


请输入您要查询的字词:

 

字词 二项分布
类别 中英文字词句释义及详细解析
释义 二项分布

概率论中关于二项式n次乘幂的概率分布。

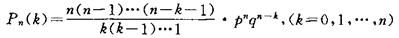
描述随机现象的一种常用分布。整个总体中,仅有两种可能结果时,如种子的发芽与不发芽、产品的合格与不合格等,假定在一次抽样试验中,两种结果出现的概率分别为p和q,则p+q=1。在n次重复的试验中,则这两组出现次数不同的组合,构成如下的概率分布:

一般说来,只要每次试验结果发生某事件的概率为p,则独立地将此试验重复n次时,这个事件正好发生k次的概率就是Pn(k)。

因为正好是二项式(p+q)的展开式中的一项,故名。

随便看

 

离鸟网收录3541549条中英文词条,其功能与新华字典、现代汉语词典、牛津高阶英汉词典等各类中英文词典类似,基本涵盖了全部常用中英文字词句的读音、释义及用法,是语言学习和写作的有利工具。

 

Copyright © 2004-2024 vtrois.com All Rights Reserved
更新时间:2026/4/19 18:12:07