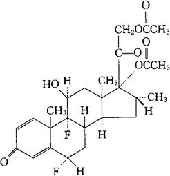
二醋酸二氟拉松
C26H32F2O7=494.53 CAS-33564-31-7 CAS-2557-49-5(diflorasone) (6α,11β,16β)-17,21-双(乙酰氧)-6,9-二氟-11-羟-16-甲基孕甾-1,4-二烯-3,20-二酮。 Pregna-1,4-diene-3,20-dione,17,21-bis(aceyloxy)-6,9-difluoro-11-hydroxy-16-methyl-,(6α,11β,16β)-. 6α,9-二氟-11β,17,21-三羟-16β-甲基孕甾-1,4-二烯-3,20-二酮17,21-二醋酸酯。 6α,9-Difluoro-11β,17,21-trihydroxy-16β-methylpregna-1,4-diene-3,20-dione 17,21-diacetate. 肾上腺皮质激素类药,消炎药(局部)。 Diflorasone Diacetate,U-34,865. INN & BAN(Diflorasone),USAN,USP.  |