网站首页  词典首页


请输入您要查询的字词:

 

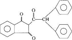
字词 二苯茚酮
类别 中英文字词句释义及详细解析
释义 二苯茚酮

C23H16O3=340.38

CAS-82-66-6

2-(二苯乙酰)-1H-茚-1,3-(2H)-二酮。

1H-Indene-1,3-(2H)-dione,2-(diphenylacetyl)-.

2-(二苯乙酰)-1,3-二氢化茚二酮。

2-(Diphenylacetyl)-1,3-indandione.

抗凝药。

Diphenadione,Dipaxin.

INN,BAN,USAN,USP.

随便看

 

离鸟网收录3541549条中英文词条,其功能与新华字典、现代汉语词典、牛津高阶英汉词典等各类中英文词典类似,基本涵盖了全部常用中英文字词句的读音、释义及用法,是语言学习和写作的有利工具。

 

Copyright © 2004-2024 vtrois.com All Rights Reserved
更新时间:2026/4/18 9:25:00