网站首页  词典首页


请输入您要查询的字词:

 

字词 二胆碱替去莫南
类别 中英文字词句释义及详细解析
释义 二胆碱替去莫南

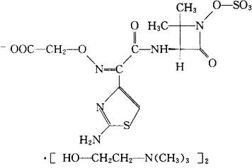
C12H13N5O9S2·2(C5H14NO)=643.73

CAS-102916-21-2

CAS-102507-71-1(tigemonam)

2-羟基-N,N,N-三甲基-乙醇胺,与[S(Z)]-[[[1-(2-氨基-4-噻唑基)-2-[2,2-二甲基-4-氧代-1-磺基氧代)-3-氮杂环丁烷基]氨基]-2-氧代亚乙基]氨基]氧]醋酸盐(2∶1)。

Ethanolaminium,2-hydroxy-N,N,N-trimethyl-,salt with[S(Z)]-[[[1-(2-amino-4-thiazolyl)-2-[(2,2-dimethyl-4-oxo-1-sulfooxy)-3-azetidinyl]amino]-2-oxoethylidene]amino]oxy]lacetic acid(2∶1).

胆碱盐与[[[(Z)-(2-氨基-4-噻唑基)[[(3S)-1-羟-2,2-二甲基-4-氧代-3-氮杂环丁烷基]氨基甲酰基]亚甲基]氨基]氧]醋酸氢硫酸酯(2∶1)。

Choline,salt with[[[(Z)-(2-amino-4-thiazolyl)[[(3S)-1-hydroxy-2,2-dimethyl-4-oxo-3-azetidinyl]-carbamoyl]methylene]amino]oxy]-acetic acid,hydrogen sulfate(ester)(2∶1).

抗菌药。

泰格莫南胆碱。

Tigemonam,Dlcholine,Tigemen,SQ 30836.

INN(Tigemonam),USAN.

随便看

 

离鸟网收录3541549条中英文词条,其功能与新华字典、现代汉语词典、牛津高阶英汉词典等各类中英文词典类似,基本涵盖了全部常用中英文字词句的读音、释义及用法,是语言学习和写作的有利工具。

 

Copyright © 2004-2024 vtrois.com All Rights Reserved
更新时间:2026/4/18 15:07:20