网站首页  词典首页


请输入您要查询的字词:

 

字词 二羟甲基丙烯脲树脂
类别 中英文字词句释义及详细解析
释义 二羟甲基丙烯脲树脂

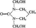
反应树脂,由尿素和丙烯脲反应而成。结构式:

其防皱、防缩性能好,稳定性好,但游离甲醛较高,在丝织品上极少单独使用

随便看

 

离鸟网收录3541549条中英文词条,其功能与新华字典、现代汉语词典、牛津高阶英汉词典等各类中英文词典类似,基本涵盖了全部常用中英文字词句的读音、释义及用法,是语言学习和写作的有利工具。

 

Copyright © 2004-2024 vtrois.com All Rights Reserved
更新时间:2026/4/19 2:28:34