网站首页  词典首页


请输入您要查询的字词:

 

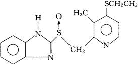
字词 二硫拉唑
类别 中英文字词句释义及详细解析
释义 二硫拉唑

C16H17N3OS2=331.45

CAS-99499-40-8

2-[[[4-(乙硫基)-3-甲基-2-吡啶基]甲基]亚磺酰]苯并咪唑。

2-[[[4-(Ethylthio)-3-methyl-2-pyridyl]methyl]sulfinyl]benzimidazole.

抗溃疡病药。

Disuprazole.

INN,USAN.

随便看

 

离鸟网收录3541549条中英文词条,其功能与新华字典、现代汉语词典、牛津高阶英汉词典等各类中英文词典类似,基本涵盖了全部常用中英文字词句的读音、释义及用法,是语言学习和写作的有利工具。

 

Copyright © 2004-2024 vtrois.com All Rights Reserved
更新时间:2026/4/17 23:21:54