网站首页  词典首页


请输入您要查询的字词:

 

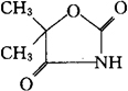
字词 二甲双酮
类别 中英文字词句释义及详细解析
释义 二甲双酮

C5H7NO3=129.12

CAS-695-53-4

5,5-二甲基-2,4-噁唑烷二酮。

2,4-Oxazolidinedione,5,5-dimethyl-.

5,5-二甲基-2,4-噁唑烷二酮。

5,5-Dimethyl-2,4-oxazolidinedione.

抗惊厥药。

Dimethadione,BAX 1400Z,AC 1198,DMO,NSC30152.

INN,USAN.

随便看

 

离鸟网收录3541549条中英文词条,其功能与新华字典、现代汉语词典、牛津高阶英汉词典等各类中英文词典类似,基本涵盖了全部常用中英文字词句的读音、释义及用法,是语言学习和写作的有利工具。

 

Copyright © 2004-2024 vtrois.com All Rights Reserved
更新时间:2026/4/18 7:33:53