网站首页  词典首页


请输入您要查询的字词:

 

字词 二氟泼尼酯
类别 中英文字词句释义及详细解析
释义 二氟泼尼酯

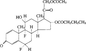
C27H34F2O7=508.56

CAS-23674-86-4

(6α,11β)-21-(乙酰氧)-6,9-二氟-11-羟-17-(1-氧代丁氧)-孕甾-1,4-二烯-3,20-二酮。

Pregna-1,4-diene-3,20-dione,21-(acetyloxy)-6,9-difluoro-11-hydroxy-17-(1-oxobutoxy)-,(6α,11β)-.

6α,9-二氟-11β,17,21-三羟孕甾-1,4-二烯-3,20-二酮21-醋酸酯17-丁酸酯。

6α,9-Difluoro-11β,17,21-trihydroxypregna-1,4-di ene-3,20-dione 21-acetate 17-butyrate.

Difluprednate,W 6309.

INN,USAN.

随便看

 

离鸟网收录3541549条中英文词条,其功能与新华字典、现代汉语词典、牛津高阶英汉词典等各类中英文词典类似,基本涵盖了全部常用中英文字词句的读音、释义及用法,是语言学习和写作的有利工具。

 

Copyright © 2004-2024 vtrois.com All Rights Reserved
更新时间:2026/4/18 23:13:28