二次移动平均法
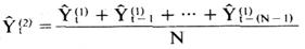
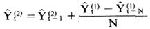
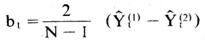
在一次移动平均所形成的序时平均数时间数列的基础上,按计算一次移动平均数时所选定的时距N,再一次逐项移动,计算移动平均数的移动平均数的方法。 为便于区别,一次移动平均数记为 ,二次移动平均数记为 。二次移动平均数的计算公式为  同理,以上公式也可变换为:  二次移动平均数一般并不直接用于预测。 当时间序列在一定时间以后出现转折点,呈线性趋势,这时,应用一次移动平均法进行趋势预测,其预测值会长期落后于观测值,它们之间所存在的偏差形成一种滞后偏差。二次移动平均法就被用来按照滞后偏差的演变规律,求出平滑系数 和bt,配合线性方程,以建立趋势修正移动平均预测模型,用以进行趋势预测。 这个模型的线性方程如下:  式中的T代表由目前时间t到需要预测的时间之间的时间个数。 ,代表第t+T时间的预测值。at为截距,即预测的起始数据。bt为斜率,即单位时间预测值的变化量。 at和bt两个平滑系数的计算公式为 
|