网站首页  词典首页


请输入您要查询的字词:

 

字词 二次函数
类别 中英文字词句释义及详细解析
释义 二次函数

一般地,形如y=ax2+bx+c(a,b,c是常数,a≠0)的函数叫做x的二次函数.

注意 1.二次函数仅仅要求二次项系数a不为0,对一次项系数和常数项没有要求.

2.当a≠0,b=0,c=0时,二次函数为y=ax2

3.当a≠0,b=0,c≠0时,二次函数为y=ax2+c.

4.当a≠0,b≠0,c=0时,二次函数为y=ax2+bx.

例1 下列函数哪些是二次函数

(3)y=a2x2+1(a为常数);

(4)y=(a2+1)x2+1(a为常数);

(6)y=2-5x;

(7)y=2(x-5)2+7;

(8)y=3x3+7x2+5;

(9)y=7-2x2

(10)y=3x2-5x.

答 (4)(5)(7)(9)(10).

[解析] (1)中自变量x在分母中.

(2)中自变量在根号里.

(3)中a=0时,不是二次函数.

(6)是一次函数.

(8)中自变量的最大指数是3.

例2 若y=(n2-n)xn2+3n-2是关于x的二次函数,那么n的值为( ).

A.-4或1 B.-4

C.1 D.2

答 B.

[解析1 由题意可得

由❶ 得 n=-4或n=1,

由❷ 得 n≠0且n≠1.

∴n=-4故选B.

例3 下列说法正确的是( ).

A.函数y=ax2的图象经过原点,是y关于x的二次函数

B.若y与x2成正比例,则y是x的二次函数

C.函数y=ax2+bx+c(a,b,c是常数)是二次函数

D.函数y=ax2(a>0)中,无论x为何值,y的值总是正数

答 B.

[解析] A当a=0时,y不是x的二次函数.

C当a=0时,y不是x的二次函数.

D当x=0时,y=0,不是正数.

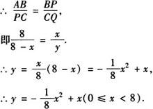
例4 正方形ABCD的边长为8cm,P在BC上,Q在CD上,AP⊥PQ,BP=xcm,CQ=ycm,求y与x的函数关系式.

解 ∵AP⊥PQ,∴∠APQ=90°,

∴∠APB=∠PQC.

又∵∠B=∠C=90°,

∴△ABP∽△PCQ,

随便看

 

离鸟网收录3541549条中英文词条,其功能与新华字典、现代汉语词典、牛津高阶英汉词典等各类中英文词典类似,基本涵盖了全部常用中英文字词句的读音、释义及用法,是语言学习和写作的有利工具。

 

Copyright © 2004-2024 vtrois.com All Rights Reserved
更新时间:2026/4/17 22:16:04