网站首页  词典首页


请输入您要查询的字词:

 

字词 二因素相关系数
类别 中英文字词句释义及详细解析
释义 二因素相关系数

指用来分析两个经济因素之间的相关关系的系数。

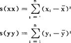
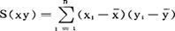
一般用r表示:

式中:r表示相关系数

其中:x、y表示两个因素

x1表示因素x的各期值

y1因素y的各期值

表示x1的平均值

表示y1的平均值

r在+1与-1之间,即:-1≤r≤1

求出r后,可利用下列准则判断因素之间的关系:

当0≤r≤1时,表明x与y是正相关,

当-1≤r<0时,表明x与y是负相关,

当r=0时,表明x与y不相关,

当r=±1时,表明x与y是强相关。

在利用一元线性回归预测法进行预测时,首先要求出r,然后据此判断x与y的相关关系是否能符合要求,若符合,才能利用该模型进行预测。

随便看

 

离鸟网收录3541549条中英文词条,其功能与新华字典、现代汉语词典、牛津高阶英汉词典等各类中英文词典类似,基本涵盖了全部常用中英文字词句的读音、释义及用法,是语言学习和写作的有利工具。

 

Copyright © 2004-2024 vtrois.com All Rights Reserved
更新时间:2026/4/21 18:28:08