二嗪磷
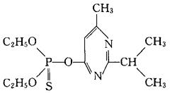
又称地亚农、二嗪农。 广谱有机磷杀虫剂。化学名称:O,O-二乙基-O-(2-异丙基-4-甲基嘧啶-6甲基)硫逐磷酸酯。化学结构式如下。纯品为无色、无臭油状液体,沸点83~84℃(266.6×10-4Pa),密度1.116~1.118,蒸气压186.7×10-4Pa。常温下水中溶解度为40mg/kg,可与乙醇、丙酮、二甲苯混溶,在水或稀酸中逐渐分解,在稀碱中稳定,在强碱中很快分解,挥发性强。对害虫和螨类具有很强的触杀、胃毒作用和较好的熏蒸作用,对一些害虫有杀卵作用。 渗透作用较强。速效,叶面喷雾药效期较短,但在土壤内,药效期长。可应用于水稻、甘蔗、玉米、棉花、蔬菜、果树、烟草、花卉等,防治食叶害虫、钻蛀性害虫、刺吸口器害虫及地下害虫。对大鼠急性口服LD50为250~285mg/kg,急性经皮LD50为455~900mg/kg,吸入急性LC50为3.5mg/L(4h)。ADI值为0.002mg/kg。日本规定稻米、大豆、果实、茶、蔬菜上的允许残留量为0.1mg/kg。 
|