网站首页  词典首页


请输入您要查询的字词:

 

字词 二元线性回归预测法
类别 中英文字词句释义及详细解析
释义 二元线性回归预测法

指利用二个变量与因变量之间的线性关系进行预测的方法。

其特点是影响预测值的因素有二个,且预测值与这二个因素成线性关系,反映在图形上是条直线。其数学模型为:

式中:Y表示预测值(即因变量);x1表示影响因素(即自变量)之一;x2表示影响因素(即自变量)之二;表示回归系数。

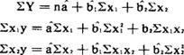
用二元线性回归预测法进行预测时,关键是要确定该模型,而该模型建立的基础,是求出回归系数0由通过最小二乘法演变而来的下列方程组确定:

预测时,首先要收集一系列x1,x2与y的资料,然后通过分析整理,检验其关系是否符合模型,若符合,则再通过以上联立方程求出,据此建立具体预测模型,最后利用该模型进行预测。

随便看

 

离鸟网收录3541549条中英文词条,其功能与新华字典、现代汉语词典、牛津高阶英汉词典等各类中英文词典类似,基本涵盖了全部常用中英文字词句的读音、释义及用法,是语言学习和写作的有利工具。

 

Copyright © 2004-2024 vtrois.com All Rights Reserved
更新时间:2026/4/19 3:49:23