网站首页  词典首页


请输入您要查询的字词:

 

字词 二丙酸地塞米松
类别 中英文字词句释义及详细解析
释义 二丙酸地塞米松

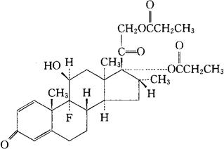
C28H37FO7=504.60

CAS-55541-30-5

(11β,16α)-9-氟-11-羟-16-甲基-17,21-双(1-氧代丙氧基)孕甾-1,4-二烯-3,20二酮。

Prgna-1,4-diene-3,20-dione,9-fluoro-11-hydroxy16-methyl-17,21-bis(1-oxopropoxy)-,(11β,16α)-.

9-氟-11β,17,21-三羟基-16α-甲基孕甾-1,4-二烯-3,20-二酮17,21-二丙酸盐。

9-Fluoro-11β,17,21-trihydroxy-16α-methylpregna1,4-diene-3,20-dione 17,21-dipropionate.

肾上腺皮质激素类药。

Dexamethasone Dipropionate,ST12.

USAN.

随便看

 

离鸟网收录3541549条中英文词条,其功能与新华字典、现代汉语词典、牛津高阶英汉词典等各类中英文词典类似,基本涵盖了全部常用中英文字词句的读音、释义及用法,是语言学习和写作的有利工具。

 

Copyright © 2004-2024 vtrois.com All Rights Reserved
更新时间:2026/4/19 5:20:56