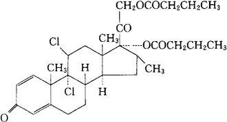
二丁酸甲氯松
C30H40Cl2O6=567.55 CAS-10549-91-4 CAS-4732-48-3(meclorisone) (11β,16α)-9,11-二氯-16-甲基-17,21-双(1-氧代丁氧基)孕甾-1,4-二烯-3,20-二酮。 (11β,16α)-9,11-Dichloro-16-methyl-17,21-bis(1-oxobutoxy)-pregna-1,4-diene-3,20-dione. 9-11β-二氯-17,21-二羟-16α-甲基孕甾-1,4-二烯-3,20-二酮二丁酸酯。 9-11β-Dichloro-17,21-dihydroxy-16α-methylpregna-1,4-diene-3,20-dione dibutyrate. 肾上腺皮质激素类药,局部消炎药。 甲氯松二丁酯。 Meclorisone Dibutyrate,Sch 11572. INN & BAN(Meclorisone),USAN.  |