二丁酰环磷腺苷钙[中]
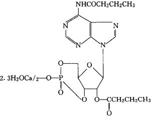
C18H23CaN5O8P·2.3H2O=549.9 N6-2′-O-二丁酰-3′,5′-环磷酸腺甘钙盐2.3水化合物。 N6-2′-O-Dibutyryl 3′,5′-cyclophosphoric acid adenosine calcium salt trihydrate. 蛋白激酶致活剂。用于缓解心绞痛及急性心肌梗塞,对风湿性心脏病的心悸气急、胸闷也有-定的效果。 亦可用于银屑病,辅助其他抗癌药治疗白血病。 Calcium Dibutyryladenosine Cyclophosphate. 注射用二丁酰环磷酸腺苷钙。 
|