网站首页  词典首页


请输入您要查询的字词:

 

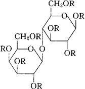
字词 乳铝硫
类别 中英文字词句释义及详细解析
释义 乳铝硫

C12H54Al16O75S8=2086.70

CAS-96427-12-2

乳糖八个(氢硫酸),碱性铝盐。

Lactose octakis(hydrogen sulfate),basic aluminum salt.

抗溃疡病药。

Lactalfate.

INN,USAN.

(R系SO3Al2(OH)5)

随便看

 

离鸟网收录3541549条中英文词条,其功能与新华字典、现代汉语词典、牛津高阶英汉词典等各类中英文词典类似,基本涵盖了全部常用中英文字词句的读音、释义及用法,是语言学习和写作的有利工具。

 

Copyright © 2004-2024 vtrois.com All Rights Reserved
更新时间:2026/4/19 7:13:21