乳酸喷他佐辛
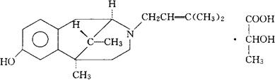
C19H27NO·C3H6O3=375.51 CAS-17146-95-1 CAS-359-83-1(pentazocin) (2α,6α,11R*)-1,2,3,4,5,6-六氢-6,11-二甲基-3-(3-甲基-2-丁烯基)-2,6-亚甲基-3-苯并吖辛因-8-醇与2-羟丙酸(1∶1)的化合物。 (2α,6α,11R*)-1,2,3,4,5,6-Hexahydro-6,11-dimethyl-3-(3-methyl-2-butenyl)-2,6-methano-3-benzazocin-8-ol,compd.with 2-hydroxypropanoic acid(1∶1). (2R*,6R*,11R*)-1,2,3,4,5,6-六氢-6,11-二甲基-3-(3-甲基-2-丁烯基)-2,6-亚甲基-3-苯并吖辛因-8-醇乳酸盐的化合物。 (2R*,6R*,11R*)-1,2,3,4,5,6-Hexahydro-6,11-dimethyl-3-(3-methyl-2-butenyl)-2,6-methano-3-benzazocin-8-ol lactate(stlt). 镇痛药。 乳酸戊唑星。 Pentazocine Lactate,Talwin. USAN,USP. 
|