网站首页  词典首页


请输入您要查询的字词:

 

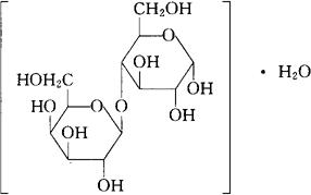
字词 乳糖[典]
类别 中英文字词句释义及详细解析
释义 乳糖[典]

C12H22O11·H2O=360.31

CAS-10039-26-6

4-O-β-D-吡喃半乳糖基-D-葡萄糖。

D-Glucose,4-O-β-D-galactopyranosyl-.

乳糖环状一水化合物。

Lactose(cyclic monohydrate).

赋形剂。

Lactose,Milk Suger,Saccharum Lactis.

BP,NF,USAN,MI.

随便看

 

离鸟网收录3541549条中英文词条,其功能与新华字典、现代汉语词典、牛津高阶英汉词典等各类中英文词典类似,基本涵盖了全部常用中英文字词句的读音、释义及用法,是语言学习和写作的有利工具。

 

Copyright © 2004-2024 vtrois.com All Rights Reserved
更新时间:2026/4/20 2:39:05