网站首页  词典首页


请输入您要查询的字词:

 

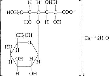
字词 乳糖酸钙
类别 中英文字词句释义及详细解析
释义 乳糖酸钙

C24H42CaO24·2H2O=790.69

CAS-110638-68-1

4-O-β-D-吡喃半乳糖基-D-葡糖酸钙(2∶1)二水化合物。

4-O-β-D-Galactopyranosyl-,D-gluconic acid,calcium salt(2∶1),dihydrate

乳糖酸钙(2∶1)二水化合物。

Calcium lactobionate(2∶1),dihydrate.

Calicum Lactobionate.

USAN,USP.

随便看

 

离鸟网收录3541549条中英文词条,其功能与新华字典、现代汉语词典、牛津高阶英汉词典等各类中英文词典类似,基本涵盖了全部常用中英文字词句的读音、释义及用法,是语言学习和写作的有利工具。

 

Copyright © 2004-2024 vtrois.com All Rights Reserved
更新时间:2026/4/20 7:20:38