网站首页  词典首页


请输入您要查询的字词:

 

字词 乳糖山梨醇
类别 中英文字词句释义及详细解析
释义 乳糖山梨醇

【化学名称】4-半乳糖基山梨糖醇一水合物

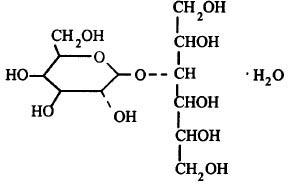
【化学结构】

【药理作用】本品为肝门脉系统脑病治疗药。本品系二糖,但不能被小肠中的二糖酶分解,因此不能被吸收而以其原形进入结肠。在这里它主要被肠内微生物中的拟杆菌和乳酸杆菌降解。这个过程主要生成醋酸、丙酸和丁酸,从而酸化了结肠内容物。此种酸化作用减少了结肠对氨的吸收。

那些分解本品的细菌似也能吸收氨,在体外培养的粪便样品中加入本品后见粪便中的氨含量减少。本品分解成短链有机酸后提高了结肠内的渗透压,从而增加了液体流入,因此本品有轻泻作用。

临床试验证明本品是治疗急性和慢性肝门脉系统脑病的有效药物。如要达到最佳治疗效果,应对每一病人食物中的蛋白质含量加以控制。血清电解质紊乱必须加以纠正。

本品为一种化学纯的结晶粉末,便于使用,它不太甜,也不具有热值,对健康人或糖尿病病人的血糖或胰岛素水平并无影响。本品不会促进龋齿,加入饮料如茶、咖啡、果汁、酸牛奶或糖煮水果中不致影响其药理作用。

本品在结肠内发挥其作用,在那里它的生物利用度实际上达到100%。它只有极少量被吸收,吸收后绝大部分以原形随尿排出。

【适应证】慢性或突发性肝门脉系统脑病。

【剂量与方法】口服,剂量按病情严重程度及每一病人的反应而定。一般起始剂量为每日0.5~0. 7 g/kg,分3次于进餐时服用。体重70 kg的病人,剂量约35~50 g/d。上述剂量可适当增减,使每天排2次软便。一旦确定维持剂量,便无需更动。

服用时本品可加入含糖食物中。

对插胃管的住院病人可将本品200 g与煮沸的蒸馏水200ml搅拌使之溶解,待全部溶解后加入冷蒸馏水168 ml,搅匀,此40%的溶液可经胃管给药或饮用,剂量为1~2 ml/(kg·d)相当于0. 4~0. 8 g/(kg·d)。于无菌条件下制备的溶液可在冰箱中保存4~6周而不致变质。否则应随配随用。

【不良反应】在治疗开始时可能出现肠胃气胀,但有规律地服用数天后此症状会减轻或消失。为防止电解质平衡被破坏,一开始就应由负责治疗的医师确定最佳剂量使病人有1~2次/d软便。如病人服本品后出现恶心,可在用餐时服用。

【注意事项】因本品在结肠内发挥作用,故禁用于肠道不畅通(肠梗阻、人工肛门)的病例。

以本品治疗肝门脉系统脑病时不可同时服用制酸药或新霉素,因它们可降低粪便的酸度。

出现腹泻是剂量过大的征兆,此时应减少日剂量。

【制剂规格】散剂:每小袋10g,每大袋200g、500g。

【贮存】本品易潮解,应防潮。注意失效期。

【生产厂家】瑞士Zyma公司。

随便看

 

离鸟网收录3541549条中英文词条,其功能与新华字典、现代汉语词典、牛津高阶英汉词典等各类中英文词典类似,基本涵盖了全部常用中英文字词句的读音、释义及用法,是语言学习和写作的有利工具。

 

Copyright © 2004-2024 vtrois.com All Rights Reserved
更新时间:2026/4/19 12:31:32