网站首页  词典首页


请输入您要查询的字词:

 

字词 乱流积分系数
类别 中英文字词句释义及详细解析
释义 乱流积分系数

鉴别乱流输送强度的系数。

同时它也表示因空气乱流作用而输送物理属性速度的系数,因而又称乱流传导速度。这种系数的倒数的加法律,与电路中各段电传导率的加法律完全相似,因而又称为乱流传导率。这种传导率

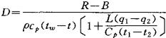
可以根据梯度观测和热平衡观测的资料,用下式计算:

式中R为辐射平衡,B为土壤热交换,ρ为空气密度,Cp为定压比热容,tw与t分别为下垫面和空气的温度,L为蒸发潜热,q1与q2分别为z1与z2高度上的比湿,t1与t2分别为z1与z2高度上的温度。

随便看

 

离鸟网收录3541549条中英文词条,其功能与新华字典、现代汉语词典、牛津高阶英汉词典等各类中英文词典类似,基本涵盖了全部常用中英文字词句的读音、释义及用法,是语言学习和写作的有利工具。

 

Copyright © 2004-2024 vtrois.com All Rights Reserved
更新时间:2026/4/21 6:22:14