网站首页  词典首页


请输入您要查询的字词:

 

字词 概率单位分析
类别 中英文字词句释义及详细解析
释义
概率单位分析

概率单位分析probit analysis

假定我们观测到的因变量yi只取值1或0,定义潜在变量yi*:
yi*=xiβ+εi
我们无法观测到yi*,但知道yi的取值遵循以下规则:

假定εi~N(0,σ2)。称这样的模型为概率单位模型,对该模型进行的分析为概率单位分析。
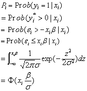
因而

其中Φ(·)为标准正态分布函数,称Pi为第i个观测值的概率单位。
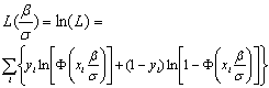
对数似然函数为:


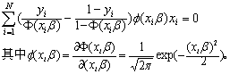
因为只能估计出β/σ,为方便起见,不妨设σ=1。于是参数β的最大似然估计的一阶条件为:

☚ 概率变换   对数单位分析 ☛
00000790
随便看

 

离鸟网收录3541549条中英文词条,其功能与新华字典、现代汉语词典、牛津高阶英汉词典等各类中英文词典类似,基本涵盖了全部常用中英文字词句的读音、释义及用法,是语言学习和写作的有利工具。

 

Copyright © 2004-2024 vtrois.com All Rights Reserved
更新时间:2026/4/20 7:11:16