网站首页  词典首页


请输入您要查询的字词:

 

字词 椭圆的面积
类别 中英文字词句释义及详细解析
释义
椭圆的面积

椭圆的面积tuoyuan de mi-anji

半长轴为a,半短轴为b的椭圆的面积为S=πab.

图1


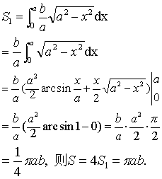
证 由于椭圆=1关于两坐标轴对称,故只需求出椭圆在第Ⅰ象限的面积(如图1)

图2


椭圆面积公式的导出可做如下说明:经过圆x

+y2=a2

和椭圆
1上横坐标相同的各点作坐标轴的平行线,分别得到如图2所示的一系列矩形,属于椭圆和属于圆的相应矩形面积比是b:a.
圆和椭圆的面积可以看作是相应的矩形面积的和在矩形底面趋于零时的极限,两个极限的比也是b:a,而

x2+y2=a2

的面积是

π2

所以椭圆

的面
积是πab.
☚ 椭圆的画法   椭圆的切线和法线 ☛
00013165
随便看

 

离鸟网收录3541549条中英文词条,其功能与新华字典、现代汉语词典、牛津高阶英汉词典等各类中英文词典类似,基本涵盖了全部常用中英文字词句的读音、释义及用法,是语言学习和写作的有利工具。

 

Copyright © 2004-2024 vtrois.com All Rights Reserved
更新时间:2026/4/20 14:49:52