椭圆抛物面tuoyuan paowumian
在空间直角坐标系下,由三元二次方程
(a,b>0)所确定的曲面. 这个方程叫做它的标准方程. 椭圆抛物面的性质如下:
❶对称性 曲面关于YZ面、ZX面对称,这两个平面叫做主平面;关于Z轴对称,Z轴叫做主轴;关于原点则不对称.
❷截距 在坐标轴上的截距都是零,因此曲面过原点,并将原点叫做端点或顶点.
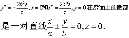
❸截部 在YZ面、ZX面上的截部分别是抛物线
x=0和
y=0,在XY面上的截部为原点.

❹轮廓线 在z=w上的轮廓线是


z=w,当c>0时,w由0变至+∞,当c<0时,w由—∞变至0,所得的平截线都是中心在 (0,0,w)的相似实椭圆,且分别在XY面的上方或下方连续变大,故曲面在XY面的上半空间或下半空间伸延至无穷远.在x=u上的轮廓线是

x=u. 当u变化时,表示顶点在

焦参数为

的全等抛物线.在y=v上的轮廓线也是全等抛物线. c> 0时,曲面的形状见图.
其它两个椭圆抛物面的标准方程是

和
