网站首页  词典首页


请输入您要查询的字词:

 

字词 植物硼营养
类别 中英文字词句释义及详细解析
释义

植物硼营养boron in plant nutrition

植物生长发育必需的硼的供应和吸收。与其他微量元素不同,硼在土壤中主要以分子态的硼酸B(OH)3存在。因此,在湿润地区土壤中的硼容易淋失,而在干旱地区土壤表层往往有硼的积累。随pH值升高,硼酸分子离解形成硼酸阴离子B(OH)-4,即易为土壤吸附固定,有效性降低,这也是过量施用石灰能导致作物缺硼的原因。
硼的一切生理功能与其能和富含羟基的糖和糖醇络合形成硼酯化合物有关。这些硼的化合物作为酶反应的作用物或生成物,参与各种代谢活动,影响植物的生长和发育。
硼的吸收与运输
硼以B(OH)3分子态被植物吸收,系被动吸收。硼的吸收与植物的蒸腾速率成正比,随质流而进入根部。硼能与根表自由空间中的糖络合,吸收作用很快。硼的吸收是一个扩散过程,吸收速率更决定于介质中B(OH)3的浓度。但随着pH值升高,吸收速率降低(pH值为6.0时,100%吸收)。这与pH值升高,非解离的B(OH)3减少是一致的。
硼在植物体中相对地不易移动,再利用率很低。植物缺硼的典型症状是顶端生长受阻。植株中硼的含量从下部向上部增加(表1)。与钙相似,硼实际上不存在于韧皮部汁液中。硼的运输主要受蒸腾作用的控制。因此,硼容易在叶尖和叶缘中积聚,而导致植物毒害。但某些植物能适应高硼条件,将硼从叶脉中分泌出去,或者通过落叶的方式避免硼在植株中积聚,这是遗传基因决定的。

表1 罂粟植株不同部位中硼的含量


植物器官干物质硼含量(μg/g)
种子,荚壳
上部叶
中部叶
茎秆
69
45
34
17
20

硼的生理功能
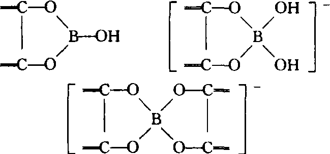
硼与糖或糖醇络合形成硼酯,这是硼一切生理功能的基础。硼与糖形成的化合物有下列几种:



由于硼酸和二相邻羟基的比例以及基质pH值的不同而生成不同的硼酯类化合物。这些硼化合物可能参与一系列代谢进程(图)。形成硼酯复合体需要具有相邻顺式二元醇构型的多羟基化合物,包括多种糖类及其衍生物(如糖醇和糖醛酸),特别是甘露醇、甘露聚糖以及甘露糖醛酸。相反,葡萄糖、果糖以及半乳糖及其衍生物(如蔗糖)不具备这种顺式二元醇构型,因此不能形成稳定的硼酸复合体。一些磷二酚,如咖啡酸和阿魏酸,它们是双子叶植物木质素生物合成的前体,具有顺式二元醇构型,因此能形成稳定的硼酸复合物。



硼对植物影响的可能途径和顺序


高等植物的总硼量有很大部分是以顺式硼酸酯形式络合在细胞壁中。双子叶植物需硼量高于单子叶植物,这是与细胞壁,主要是半纤维素和木质素前体中具有顺式二元醇构型的化合物比例高有关。单子叶植物如小麦的细胞壁中牢固结合态硼的含量为3~5微克/克干重,而双子叶植物如向日葵中则高达30微克/克干重。这种差异反映了不同植物种之间硼的需要量不同。
细胞伸长和组织分化
缺硼的最显著的反应就是主根和侧根的伸长受抑制,使根系呈短粗丛枝状。植物缺硼,根内IAA氧化酶的活性迅速提高,根伸长减慢。
已发现生长素(IAA)和硼之间有明显的相互作用。绿色植物中,IAA只有在维管植物中形成,它参与木质部导管的分化,因此,一般对硼的需求也仅限于维管植物。缺硼对组织分化的影响是典型的。缺硼导致根伸长减慢,茎形成层组织细胞分裂加强,形成层细胞增生,以及木质部分化削弱。缺硼植株中,生长素水平比正常植株高得多。外源IAA诱发的根尖解剖学变化与缺硼时相似,这曾使人们认为,植物的缺硼症状是生长素水平增高的一种反映,然而缺硼和IAA水平过高所引起的根尖结构变化并不相同。在比较不同的植物种类或植物器官时并未发现IAA水平和缺硼症状间有明显关系。只有那些对缺硼有反应而积累某些酚类的植物,其IAA才会提高。因为这些酚类化合物是IAA氧化酶活性的有效抑制剂。某些酚化合物不仅是根伸长的有效抑制剂,而且能同时促进细胞径向分裂。其诱发的形态学变化与IAA引起的变化相似。
酚代谢和木质素形成
缺硼将导致植物体内酚类化合物积累。酚类化合物积聚能抑制IAA氧化酶的活性。在正常植株中,硼能与酚类化合物络合,克服酚类化合物对IAA氧化酶的抑制作用。在木质素形成和木质部导管分化过程中,硼对羟基化酶和酚类化合物酶的活性起控制作用。植物缺硼导致酚类化合物和IAA代谢的改变,植物组织受损伤,与植物受微生物侵入受损的情况相同。因此缺硼组织的代谢变化和细胞的破坏,很可能是缺硼组织本身的酚类化合物累积造成的。硼在调节酚代谢和木质化作用方面的功能可以概括如下:



硼似乎不仅调节底物转向戊糖—磷酸循环,而且还通过形成稳定的酚酸,特别是咖啡酸—硼酸复合体来调节木质素的生物合成。因此,缺硼时有酚类积累,这会促进多酚氧化酶(PPO)的活性,导致细胞壁中高活性的中间物如咖啡醌的浓度增高。
碳水化合物运输和蛋白质代谢
硼在碳水化合物代谢中的功能主要集中在两方面:细胞壁物质的合成和糖的运输均与硼有关。硼能促进葡萄糖-1-磷酸的循环和糖的转化。在缺硼的植物根中,标记磷(32P)结合进入核苷酸受阻,而己糖磷酸盐积累。因此,利用碳水化合物合成纤维素或RNA的反应也会在由己糖磷酸盐形成核苷酸的阶段受阻。缺硼使细胞壁的形成受阻。硼不仅和细胞壁成分紧密结合,而且是细胞壁结构完整性所必需。它与钙共同起“细胞间胶结物”的作用。
植物缺硼时核酸含量下降,强烈地影响RNA合成。特别是尿嘧啶合成受到削弱。而尿嘧啶核苷酸是RNA的主要组分,也是高能磷酸盐的前体:



缺硼植株RNA含量下降,新叶蛋白质含量降低,而可溶性氮化合物,尤其是硝酸盐积累。蛋白质含量降低仅限于细胞质,而叶绿体蛋白质含量则不受影响。这一结果与缺硼时失绿现象并不普遍的事实是一致的。缺硼对叶子代谢和组成的影响是间接的,缺硼影响根的生长和细胞分裂素的合成和向地上部的输送,硼对烟草尼古丁生物碱有相同影响。
花粉萌发和花粉管生长
种子和谷粒生长所需的硼量往往比营养生长高。玉米和三叶草都是如此。硼对受精具有间接的和直接的双重影响。硼的间接作用可能与花蜜中糖量的增高及其组成的变化有关,使虫媒植物的花对昆虫更有吸引力。而硼的直接作用反映在供硼与花药的花粉产生能力以及花粉粒生活力之间的密切关系上。而且,硼能刺激花粉萌发,特别是花粉管伸长,油菜缺硼导致“花而不实”,主要是由于花粉萌发和花粉管伸长受抑制。
玉米花粉萌发和受精要求的含硼量至少为3微克/克干重,而柱头的缺硼临界水平更高。葡萄是需硼量很高的一种作物,当其柱头含硼量为8~20微克/克干重时授粉就减弱。1980年刘易斯(Lewis)的研究表明,以形成硼酸—胼胝质复合体使来自花粉管壁的胼胝质的生理活性钝化,要求在柱头和花柱中有高水平的硼。在硼水平低时,胼胝质量增加,并诱发植物防御素(包括酚类化合物)合成。形成一种与受到微生物侵染时所产生的相似的防御机制。
硼是种子和果实形成所必需。水稻缺硼每穗粒数减少,大麦缺硼甚至完全不能受精。在交叉授粉试验中,玉米缺硼不能形成籽粒,不是由于花粉的活力低,而是由于花丝受粉困难。增加硼的供应可以增加库的容量(籽粒数),并能相应提高叶子的光合效率,这反映库对源的促进作用。
硼的缺乏和毒害
缺硼是一种普遍的营养失调现象。在降雨量大的情况下,硼很容易以硼酸分子的形式从土壤中淋失。另一方面,随土壤pH值的增高,硼对植物的有效性降低,特别是在粘粒含量很高的石灰性土壤中,硼酸阴离子B(OH)4-被土壤强烈吸附。在干旱条件下硼有效性也急剧下降,因为硼通过质流向根移动的能力降低。
硼和钙在植物体内的移动性都很差,它们对细胞壁的合成和组分起重要作用。因而,这两种矿质元素的可见缺乏症状如苹果“苦陷病”有某些相似之处。不同植物种对硼的需要量差异很大。双子叶植物对硼需要大于单子叶植物。单子叶植物(如小麦)的缺硼临界水平为5~10毫克/千克干重,而双子叶植物红三叶草为25~60毫克/千克干重,胡萝卜为30~80毫克/千克干重,糖用甜菜为40~100毫克/千克干重。这种需硼量的差异很可能与细胞壁组成不同有关。因此对硼的敏感性差别很大,双子叶植物比单子叶植物敏感得多,栽培品种之间也存在差异。低芥酸油菜品种比高芥酸油菜品种对硼敏感得多。
植物地上部的缺硼症状是顶芽和幼叶颜色变淡,节间缩短,植株呈丛状或莲座状;老叶脉间失绿而且叶片畸形;叶柄和茎直径增加的现象很普遍,而且会导致如芹菜的“茎裂症”。落蕾、落花和落果也是缺硼的一个典型症状。
硼素营养对果树生产极为重要,缺硼会导致果实减产。肉质果实缺硼时,不仅生长慢,而且由于果实畸形,苹果果肉部木栓化,柑橘果肉/果皮比率降低,严重影响品质。
随便看

 

离鸟网收录3541549条中英文词条,其功能与新华字典、现代汉语词典、牛津高阶英汉词典等各类中英文词典类似,基本涵盖了全部常用中英文字词句的读音、释义及用法,是语言学习和写作的有利工具。

 

Copyright © 2004-2024 vtrois.com All Rights Reserved
更新时间:2026/4/18 17:53:12