网站首页  词典首页


请输入您要查询的字词:

 

字词 棉籽糖
类别 中英文字词句释义及详细解析
释义

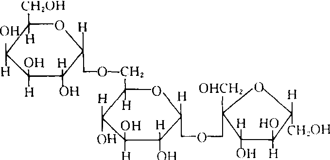
棉籽糖raffinose

α-D-吡喃半乳糖与蔗糖去水缩合,以α1→6糖苷键连接而成的三糖。结构式如下。无还原性。被酸彻底水解为D-半乳糖、D-葡萄糖和D-果糖;被α-半乳糖苷酶水解为D-半乳糖和蔗糖;被β-果糖苷酶水解为D -果糖和蜜二糖。广泛存在于植物界,已在46个科的165种植物中发现。在棉籽、甜菜和桉树中含量很高。

随便看

 

离鸟网收录3541549条中英文词条,其功能与新华字典、现代汉语词典、牛津高阶英汉词典等各类中英文词典类似,基本涵盖了全部常用中英文字词句的读音、释义及用法,是语言学习和写作的有利工具。

 

Copyright © 2004-2024 vtrois.com All Rights Reserved
更新时间:2026/4/20 22:15:47