格兰杰因果律Granger Causality
为检验经济变量间的因果关系,格兰杰于1969年利用滞后分布的概念提出了以其名字命名的因果性定义,并给出了这种因果关系的存在性检验,被称为格兰杰因果律。按常理,由将来不能推测过去,如果变量X是导致变量Y的原因,则变量X的变化将先于Y的变化。格兰杰提出,如果利用X与Y的滞后值对Y进行预测比只用Y的滞后值来预测,产生的预测误差小,即:
σ2(Yt|Yt-k,对∀k>0)>σ2(Yt|(Yt-k
X
t-k),对∀k>0),称X是Y的格兰杰原因,记为X→Y。
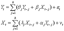
格兰杰因果性检验:考虑下面的回归

(其中,扰动项ε
t与v
t不相关)以及与之对应的零假设
H0x:βj=0j=1,…,k (1)
H0y:αj=0 j=1,…,k (2)
对(1)(2)分别应用线性等式约束下的最小二乘估计进行假设检验,该检验方法是由G.Tintner提出来的,故称为Tintner检验。根据检验结果,可将格兰杰因果性分为以下四种情形:
单向因果性X→Y:若拒绝H
0x,但接受H
0y;
单向因果性Y→X:若拒绝H
0y,但接受H
0x;
双向因果性Y↔X:若拒绝H
0y,也拒绝H
0x;
独立性X⊥Y:若接受H
0x,也接受H
0y。
双向因果性又称为反馈(feedback)。