网站首页  词典首页


请输入您要查询的字词:

 

字词 核糖核酸的化学组成
类别 中英文字词句释义及详细解析
释义
核糖核酸的化学组成

核糖核酸的化学组成

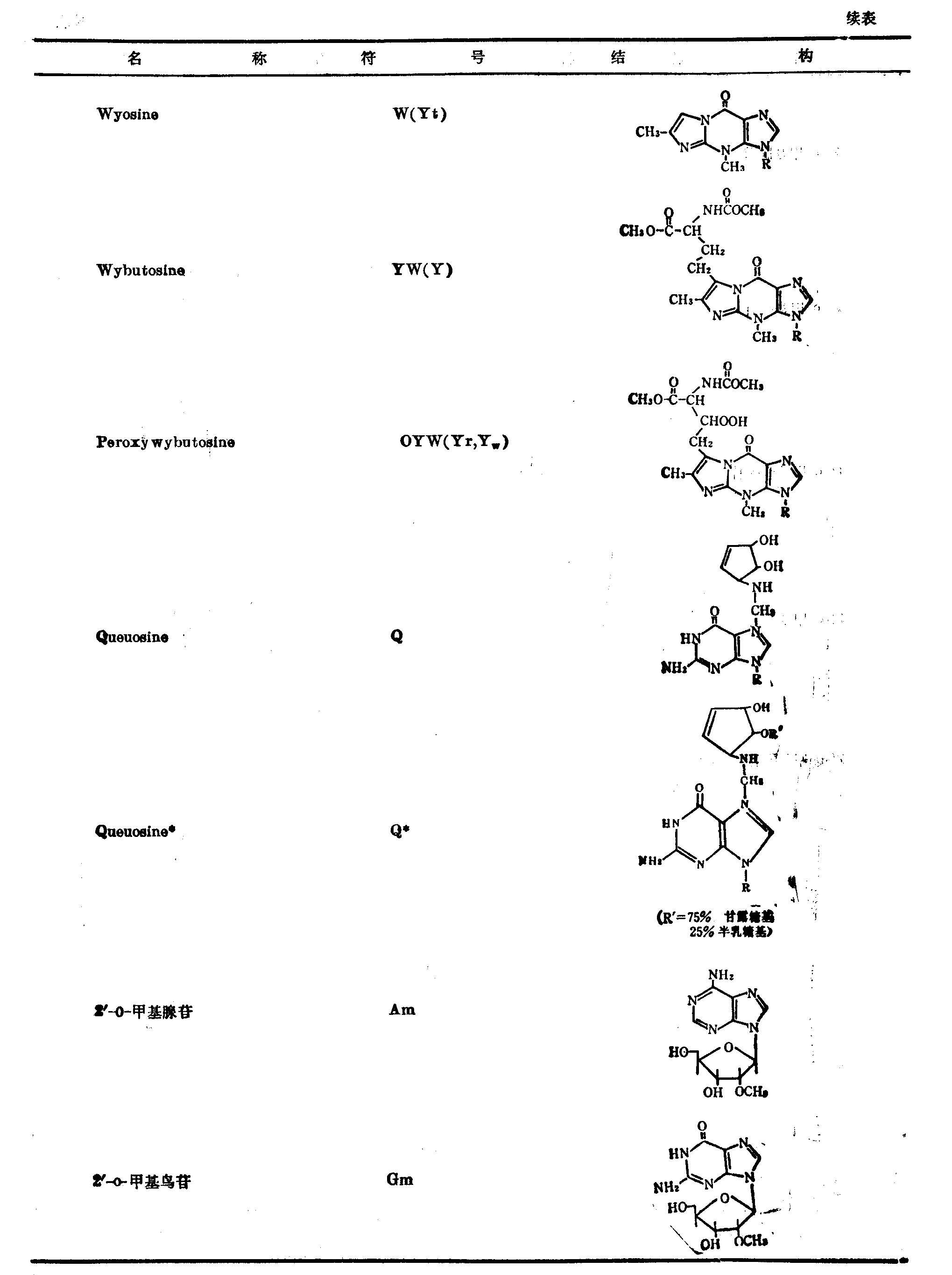
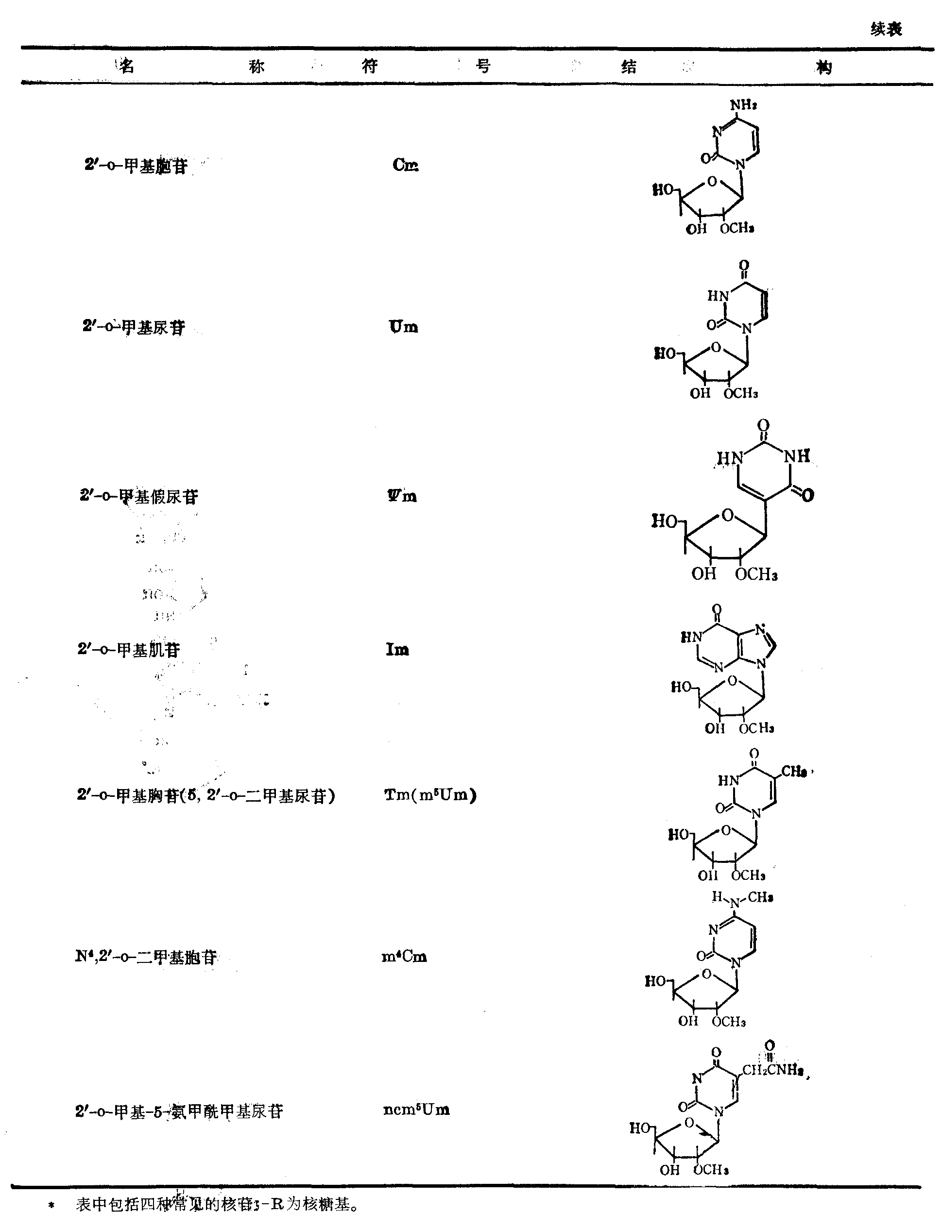
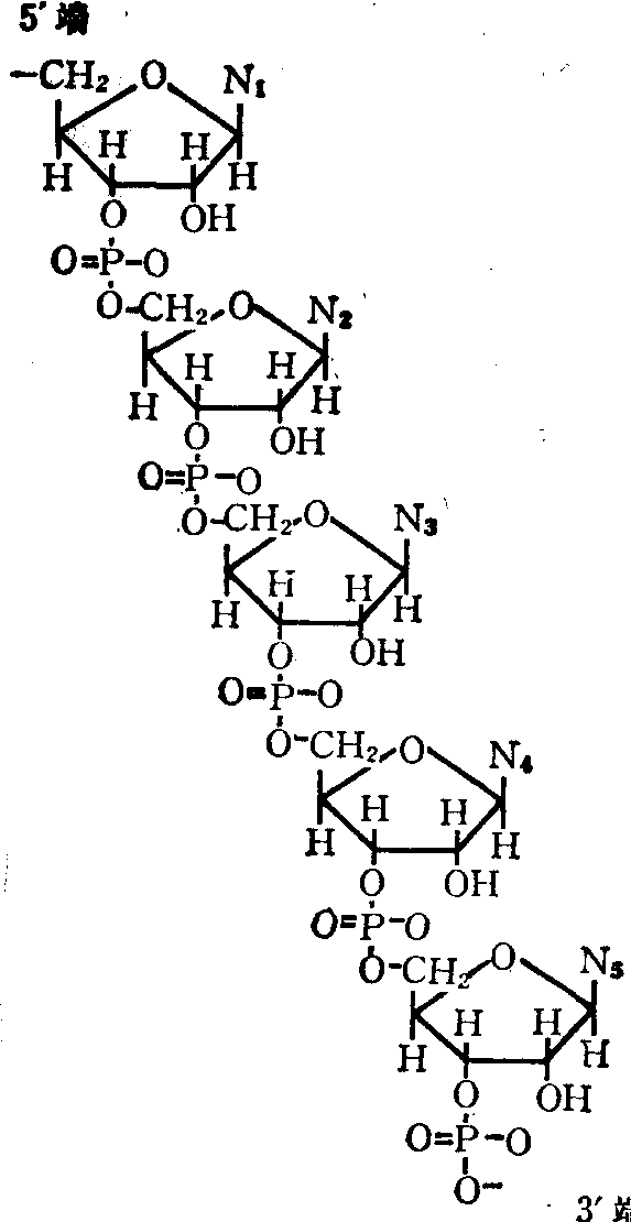
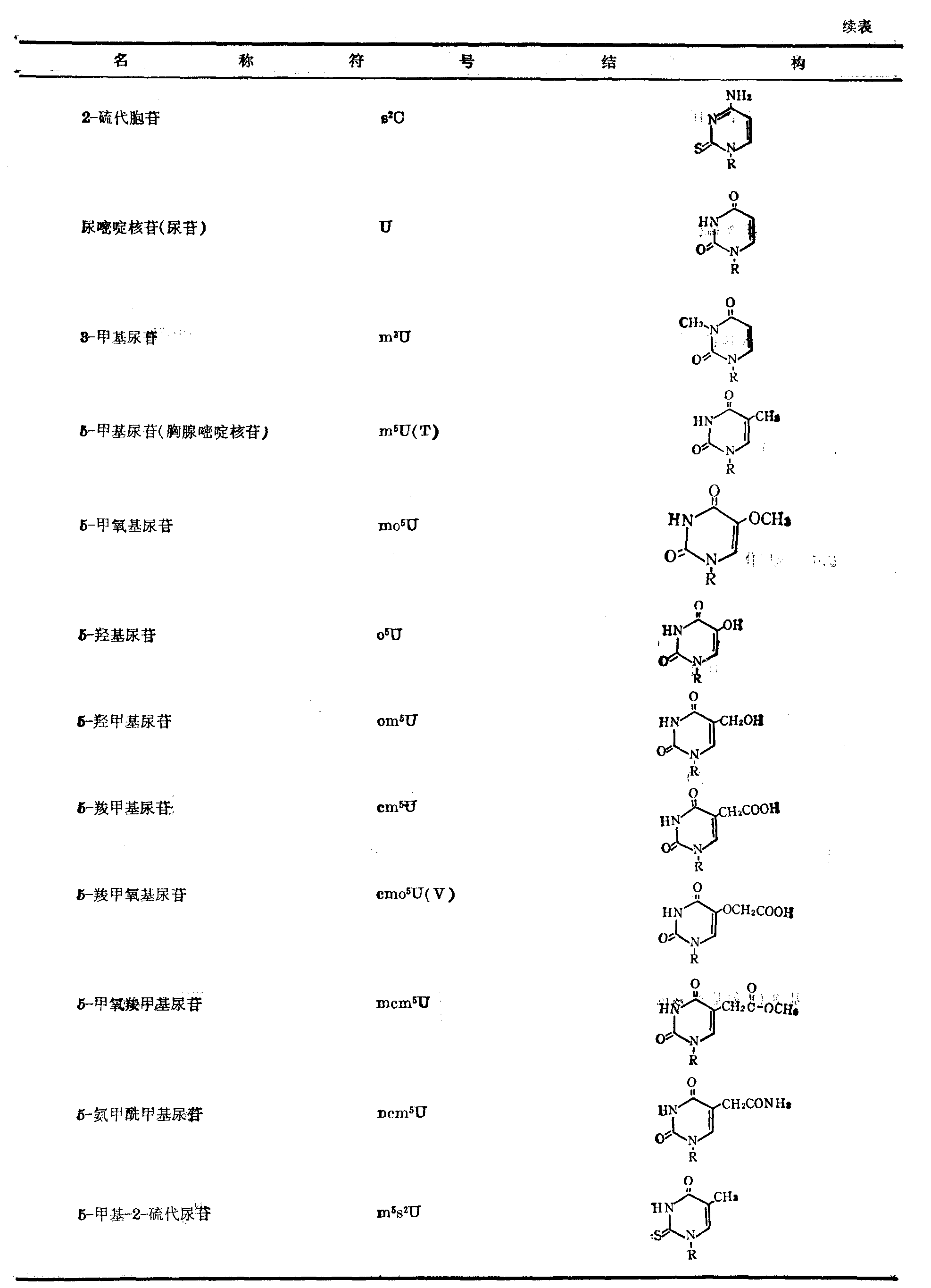
核糖核酸(RNA)是由基本结构单元——核糖核苷酸以3′,5′-磷酸二酯键连接起来的长链分子(1983年以来发现RNA可有分枝结构,即除3′,5′-磷酸二酯键的主链外,还可有2′,5′-磷酸二酯键的支链)。(图1)。核糖核苷酸则由碱基[两种常见的嘌呤碱,即腺嘌呤(A)和鸟嘌呤(G),以及两种常见的嘧啶碱,即胞嘧啶(C)和尿嘧啶(U)](图2)、核糖(β-D-核糖)和磷酸三部分构成。除了这四种核糖核苷酸外,在成熟RNA分子中几乎都或多或少地含有化学结构特殊的“稀有” 核苷酸或称作修饰核苷酸。已经确定了化学结构的修饰成分有60种左右(表)。RNA中修饰成分绝大部分可看作是四种常见核糖核苷酸的碱基或核糖结合了某种基团后的产物。碱基上的取代形式有甲基化、硫代、甲硫代、乙酰化、氢化以及带有侧链的如氨基酸基、异戊烯基、糖基、羧基、羟基等。有的结构极为复杂,称为高度修饰成分,例如在不同来源的苯丙氨酸tRNA中有一种具有强烈荧光特性的W碱基及其衍生物。这类高度修饰的碱基可看作是鸟嘌呤与带有取代基的丙烯加成的产物。在某些tRNA中发现了二种称作Q和Q*的碱基 (见表)。它们是含7去氮鸟嘌呤杂环的化合物。Q中嘌呤7位通过氨甲基与环戊烯二醇连接; Q*的基本结构与Q相同,但其环戊烯二醇基上还带有β-D-甘露糖和β-D-半乳糖。这是迄今已发现的极个别的在碱基上带有糖基的稀有成分。在真核生物中,某些细胞核小分子RNA的5′端存在着一种2,2,7-三甲基鸟苷(m2,2,7G),这种成分在其他RNA中还未见过。除碱基上的修饰外,另一类是核糖的2位上带有甲基的修饰成分,已发现的有9种。此外,还有一种尿嘧啶核苷的异构体——假尿嘧啶核苷(ψ),它是尿嘧啶-5-核糖核苷。它几乎在所有tRNA、一些细胞核小分子RNA和许多rRNA中存在。修饰核苷酸的存在给RNA分子增加了许多特殊的信号,这些信号在RNA分子中所起的作用,目前知道得很少。

图1 RNA分子的化学结构
N1、N2、N3、N4和N5分别表示四种常见碱基和稀有

碱基。


图2 核糖核酸中的四种常见碱基(A) 腺嘌呤;(B)鸟嘌呤;(C)胞嘧啶;(D)尿嘧啶。

RNA中的稀有成分*

☚ 核糖核酸的分类   核糖核酸的结构 ☛
00006735
随便看

 

离鸟网收录3541549条中英文词条,其功能与新华字典、现代汉语词典、牛津高阶英汉词典等各类中英文词典类似,基本涵盖了全部常用中英文字词句的读音、释义及用法,是语言学习和写作的有利工具。

 

Copyright © 2004-2024 vtrois.com All Rights Reserved
更新时间:2026/4/20 6:49:59