网站首页  词典首页


请输入您要查询的字词:

 

字词 样本方差的简算公式
类别 中英文字词句释义及详细解析
释义
样本方差的简算公式

样本方差的简算公式yangben fangcha de jiansuan gong-shi

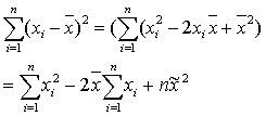
在计算样本方差和标准差时,先要求得平均故,然后对每个数据计算离差,这种方法并不是在任
何情况下都很方便的。因为当不能被n除尽时,只是近似值,这样计算xi -及其平方就十分麻烦,且不精确。
计算样本方差的另一种方法如下。
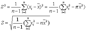
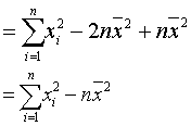
将离差平方和中的平方先展开,再对各项分别求和,于是有

 


用此公式计算样本方差和标准差较为方便精确。为了更进一步简化平均数及样本方差S2的计算,还有以下计算公式。
❶对每个xi都减去 (或加上)一个常数C,则所得的平均数也就相应地减去 (或加上)这个常数,而离差平方和不变,从而样本方差和标准差也不变,即若x′i=xi干C, 则=x-干C, S′ 2=S2, S ′ =S。

❷对每个xi都乘以 (或除以)相同常数C (C≠0),则所得的平均数也就相应地乘以 (或除以)这个常数,而离差平方和则应乘以(或除以)C2,因此样本方差也就应乘以 (或除以) C2,标准差应乘以 (或除以)C,即若x′i=Cxi,则
☚ 总体方差   频率分布直方图 ☛
00013472
随便看

 

离鸟网收录3541549条中英文词条,其功能与新华字典、现代汉语词典、牛津高阶英汉词典等各类中英文词典类似,基本涵盖了全部常用中英文字词句的读音、释义及用法,是语言学习和写作的有利工具。

 

Copyright © 2004-2024 vtrois.com All Rights Reserved
更新时间:2026/4/18 13:14:52