网站首页  词典首页


请输入您要查询的字词:

 

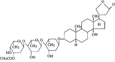
字词 乙酰洋地黄毒甙[台]
类别 中英文字词句释义及详细解析
释义 乙酰洋地黄毒甙[台]

C43H66O14=806.99

CAS-1111-39-3

α-乙酰洋地黄毒甙。

α-Acetyldigitoxin.

强心药。用于心力衰竭。

醋洋地黄毒甙。

Acetyldigitoxin,Acylanid,Aethydigitoxoside.

INN,DCF,NF,NFN,USAN,MI.

随便看

 

离鸟网收录3541549条中英文词条,其功能与新华字典、现代汉语词典、牛津高阶英汉词典等各类中英文词典类似,基本涵盖了全部常用中英文字词句的读音、释义及用法,是语言学习和写作的有利工具。

 

Copyright © 2004-2024 vtrois.com All Rights Reserved
更新时间:2026/4/21 16:56:08