乙索米星
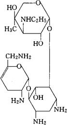
C20H39N5O7=461.56 CAS-10639-48-4 O-3-去氧-3-(乙氨基)-4-C-甲基-β-L-阿拉伯吡喃糖基-(1→4)-O-[2,6-二氨基-2,3,4,6-四去氧-α-D-甘油基-己-4-烯基吡喃糖基-(1→6)]-2-去氧-L-链霉胺。 O-3-Deoxy-3-(ethylamino)-4-C-methyl-β-L-arabinopyranosyl-(1→4)-O-[2,6-diamino-2,3,4,6-tetradeoxy-α-D-glycero-hex-4-enopynarosyl-(1→6)]-2-deoxy-L-streptamine. 3″-N-去甲基-3″-N-乙基紫苏霉素(西梭霉素)。 3″-N-Demethyl-3″-N-ethylsisomicin. 抗生素类药。 Etisomicin,BAY Ⅵ 4718. INN,BAN,USAN. 
|