网站首页  词典首页


请输入您要查询的字词:

 

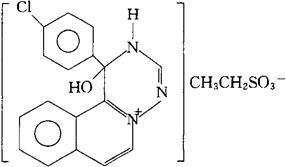
字词 乙磺酸盐三嗪胺
类别 中英文字词句释义及详细解析
释义 乙磺酸盐三嗪胺

C19H18ClN3O4S=419.88

CAS-97110-59-3

1-(对-氯苯基)-1,2-二氢-1-羟-偏-三嗪并[6,1-a]-异喹啉-5-鎓乙烷磺酸盐。

1-(p-Chlorophenyl)-1,2-dihydro-1-hydroxy-as-triazino[6,1-a]-isoquinolin-5-ium ethanesulfonate.

抗抑郁药。

垂泽乙磺酸盐,三嗪胺乙磺酸盐。

Trazium Esilate.

INN,USAN.

随便看

 

离鸟网收录3541549条中英文词条,其功能与新华字典、现代汉语词典、牛津高阶英汉词典等各类中英文词典类似,基本涵盖了全部常用中英文字词句的读音、释义及用法,是语言学习和写作的有利工具。

 

Copyright © 2004-2024 vtrois.com All Rights Reserved
更新时间:2026/4/20 17:11:46